
신규상장 종목
기간 전체입니다.
기존 작성글 링크및
종목 가나다순 배열입니다.
1탄
- 2000년(1월~12월)
- 2001년(1월~12월)
- 2002년(1월~12월)
- 2003년(1월~12월)
- 2004년(1월~12월)
신규 상장 종목(2000년~2004년)살펴보기...1탄
이번 글은 신규상장 종목 살펴보기편입니다. 이슈와 테마 글쓰기를 하다 보면 신규상장 종목내용도 많이 언급되기에 이번 기회에 정리해 보려고 합니다. 글 순서는 과거 연도에서 최근 연도순
goodp7.tistory.com
2탄
- 2005년(1월~12월)
- 2006년(1월~12월)
- 2007년(1월~12월)
- 2008년(1월~12월)
- 2009년(1월~12월)
신규 상장 종목(2005년~2009년)살펴보기...2탄
이번 글은 신규상장 종목 살펴보기편입니다. 이슈와 테마 글쓰기를 하다 보면 신규상장 종목내용도 많이 언급되기에 이번 기회에 정리해 보려고 합니다. 글 순서는 과거 연도에서 최근 연도순
goodp7.tistory.com
3탄
- 2010년(1월~12월)
- 2011년(1월~12월)
- 2012년(1월~12월)
- 2013년(1월~12월)
- 2014년(1월~12월)
신규 상장 종목(2010년~2014년)살펴보기...3탄
이번 글은 신규상장 종목 살펴보기편입니다. 이슈와 테마 글쓰기를 하다 보면 신규상장 종목내용도 많이 언급되기에 이번 기회에 정리해 보려고 합니다. 글 순서는 과거 연도에서 최근 연도순
goodp7.tistory.com
4탄
- 2015년(1월~12월)
- 2016년(1월~12월)
- 2017년(1월~12월)
- 2018년(1월~12월)
- 2019년(1월~12월)
신규 상장 종목(2015년~2019년)살펴보기...4탄
이번 글은 신규상장 종목 살펴보기편입니다. 이슈와 테마 글쓰기를 하다 보면 신규상장 종목내용도 많이 언급되기에 이번 기회에 정리해 보려고 합니다. 글 순서는 과거 연도에서 최근 연도순
goodp7.tistory.com
5탄
- 2020년(1월~12월)
- 2021년(1월~12월)
- 2022년(1월~12월)
신규 상장 종목(2015년~2019년)살펴보기...5탄
이번 글은 신규상장 종목 살펴보기편입니다. 이슈와 테마 글쓰기를 하다 보면 신규상장 종목내용도 많이 언급되기에 이번 기회에 정리해 보려고 합니다. 글 순서는 과거 연도에서 최근 연도순
goodp7.tistory.com
&
기타사항
- 본문내 종목중 상호변경
혹은 상장폐지 종목이 포함되기도 하였습니다.
참고로 관련글 링크합니다.
상호변경 종목 전체(1999년~2022년) 종목코드 순....(최종)
상호변경 6탄입니다. & 추가되는 기간이후의 종목들까지 본문 추가하였습니다. (새로 글쓰기하려다가, 오히려 기존글과의 혼동을 피하기위해서 본문 수정으로 하였습니다. 추가 종목은 4종목으
goodp7.tistory.com
상장폐지종목 전체(1991년~2022년) 종목 가나다순.....
상장폐지종목 7탄입니다. 이전 기간 이후, 추가된 종목 포함입니다. 6탄 글 수정하기에는 종목들이 많아서 별도 7탄으로 글쓰기 합니다. & 7탄에 내용들을 더욱 보강하면서 기간도 조금 연장했습
goodp7.tistory.com
글순서입니다.
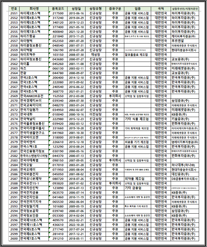
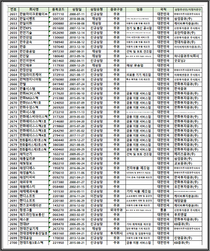
1. 종목 가나다순(2000년~2022년)
2. 종목 가나다순(2000년~2022년) 이미지
3. 표로 보는 분포
1. 종목 가나다순(2000년~2022년)
1 . 3노드디지탈그룹유한공사 / 900010 / 2007-08-17
2 . AJ네트웍스 / 095570 / 2015-08-21
3 . AJ렌터카 / 068400 / 2012-07-27
4 . AP시스템 / 265520 / 2017-04-07
5 . AP위성통신 / 211270 / 2016-03-04
6 . BGF리테일 / 282330 / 2017-12-08
7 . BGF리테일 / 027410 / 2014-05-19
8 . BS금융지주 / 138930 / 2011-03-30
9 . CJ CGV / 079160 / 2004-12-24
10 . CJ제일제당 / 097950 / 2007-09-28
11 . CS엘쏠라 / 159910 / 2012-12-27
12 . DB금융스팩6호 / 306620 / 2018-10-31
13 . DB금융스팩7호 / 322780 / 2019-05-31
14 . DB금융스팩8호 / 367340 / 2020-12-09
15 . DB금융스팩9호 / 367360 / 2021-03-16
16 . DGB금융지주 / 139130 / 2011-06-07
17 . DL이앤씨 / 375500 / 2021-01-25
18 . DSC인베스트먼트 / 241520 / 2016-12-19
19 . DSR / 155660 / 2013-05-15
20 . EDGC / 245620 / 2018-06-26
21 . ESR켄달스퀘어리츠 / 365550 / 2020-12-23
22 . F&F / 383220 / 2021-05-21
23 . GRT / 900290 / 2016-10-25
24 . GS / 078930 / 2004-08-05
25 . GSMT / 900070 / 2009-12-23
26 . GS리테일 / 007070 / 2011-12-23
27 . HDC현대산업개발 / 294870 / 2018-06-12
28 . HK이노엔 / 195940 / 2021-08-09
29 . HPSP / 403870 / 2022-07-15
30 . IBKS19호스팩 / 426550 / 2022-08-26
31 . IBKS스팩1호 / 126680 / 2010-12-22
32 . IBKS제10호스팩 / 299170 / 2018-09-21
33 . IBKS제11호스팩 / 335890 / 2019-12-03
34 . IBKS제12호스팩 / 335870 / 2019-12-09
35 . IBKS제13호스팩 / 351340 / 2020-07-15
36 . IBKS제14호스팩 / 351320 / 2020-06-22
37 . IBKS제15호스팩 / 373200 / 2021-02-26
38 . IBKS제16호스팩 / 388790 / 2021-09-03
39 . IBKS제17호스팩 / 405350 / 2022-02-18
40 . IBKS제18호스팩 / 424760 / 2022-07-22
41 . IBKS제20호스팩 / 439730 / 2022-10-28
42 . IBKS제21호스팩 / 442770 / 2022-12-16
43 . IBKS제2호스팩 / 204840 / 2014-11-20
44 . IBKS제3호스팩 / 225430 / 2015-10-08
45 . IBKS제4호스팩 / 230980 / 2016-03-02
46 . IBKS제5호스팩 / 254120 / 2016-12-02
47 . IBKS제6호스팩 / 264850 / 2017-06-01
48 . IBKS제7호스팩 / 276920 / 2017-11-10
49 . IBKS제8호스팩 / 277410 / 2017-09-29
50 . IBKS제9호스팩 / 297570 / 2018-07-20
51 . IBKS지엠비스팩 / 252500 / 2016-11-02
52 . ITX시큐리티 / 099520 / 2009-12-22
53 . JB금융지주 / 175330 / 2013-07-18
54 . JS전선 / 005560 / 2007-11-12
55 . JTC / 950170 / 2018-04-06
56 . JW생명과학 / 234080 / 2016-10-27
57 . KB금융 / 105560 / 2008-10-10
58 . KB스타리츠 / 432320 / 2022-10-06
59 . KC산업 / 112190 / 2016-05-31
60 . KC코트렐 / 119650 / 2010-01-29
61 . KG ETS / 151860 / 2013-07-24
62 . KGP / 109070 / 2009-03-17
63 . KJB금융지주 / 192530 / 2014-05-22
64 . KJ프리텍 / 083470 / 2008-09-18
65 . KMH / 122450 / 2011-05-25
66 . KNB금융지주 / 192520 / 2014-05-22
67 . KPC홀딩스 / 092230 / 2006-10-12
68 . KPX생명과학 / 114450 / 2009-12-22
69 . KSS해운 / 044450 / 2007-10-26
70 . KTB전환형30시리즈1호펀드 / 037360 / 2000-01-12
71 . KTB전환형30시리즈2호펀드 / 044400 / 2000-06-30
72 . KTcs / 058850 / 2010-09-16
73 . KTF / 032390 / 2004-04-29
74 . LG 마이크론 / 016990 / 2000-12-21
75 . LG생명과학 / 068870 / 2002-08-16
76 . LG생활건강 / 051900 / 2001-04-25
77 . LG석유화학 / 012990 / 2001-07-18
78 . LG에너지솔루션 / 373220 / 2022-01-27
79 . LG전자 / 066570 / 2002-04-22
80 . LG카드 / 032710 / 2002-04-22
81 . LG텔레콤 / 032640 / 2008-04-21
82 . LG파워콤 / 045820 / 2008-11-27
83 . LG하우시스 / 108670 / 2009-04-20
84 . LG화학 / 051910 / 2001-04-25
85 . LIG넥스원 / 079550 / 2015-10-02
86 . LX세미콘 / 108320 / 2022-11-03
87 . LX홀딩스 / 383800 / 2021-05-27
88 . MDS테크놀로지 / 086960 / 2006-09-26
89 . NHN / 035420 / 2008-11-28
90 . NHN엔터테인먼트 / 181710 / 2013-08-29
91 . NH올원리츠 / 400760 / 2021-11-18
92 . NH프라임리츠 / 338100 / 2019-12-05
93 . PI첨단소재 / 178920 / 2021-08-09
94 . S&TC / 100840 / 2008-02-22
95 . SAMG엔터 / 419530 / 2022-12-06
96 . SBI모기지 / 950100 / 2012-04-30
97 . SBI액시즈 / 950110 / 2012-12-17
98 . SBS / 034120 / 2003-06-25
99 . SBS홀딩스 / 101060 / 2008-03-24
100 . SG / 255220 / 2018-01-26
101 . SGA시스템즈 / 232290 / 2016-03-30
102 . SGA임베디드 / 224880 / 2017-05-23
103 . SIMPAC ANC / 090730 / 2008-10-17
104 . SK C&C / 034730 / 2009-11-11
105 . SK1호스팩 / 207930 / 2015-03-31
106 . SK2호스팩 / 219550 / 2015-07-22
107 . SK3호스팩 / 232330 / 2016-11-16
108 . SK4호스팩 / 307070 / 2018-12-07
109 . SK5호스팩 / 337450 / 2019-12-04
110 . SK6호스팩 / 340350 / 2020-03-11
111 . SKC코오롱PI / 178920 / 2014-12-08
112 . SK리츠 / 395400 / 2021-09-14
113 . SK바이오사이언스 / 302440 / 2021-03-18
114 . SK스퀘어 / 402340 / 2021-11-29
115 . SK아이이테크놀로지 / 361610 / 2021-05-11
116 . SK에너지 / 096770 / 2007-07-25
117 . SK증권제8호스팩 / 435870 / 2022-10-06
118 . SK케미칼 / 285130 / 2018-01-05
119 . SNK / 950180 / 2019-05-07
120 . STX엔진 / 077970 / 2004-05-10
121 . STX엔파코 / 071970 / 2009-05-15
122 . STX조선 / 067250 / 2003-10-27
123 . STX팬오션 / 028670 / 2007-09-21
124 . SV인베스트먼트 / 289080 / 2018-07-06
125 . TG인포넷 / 058690 / 2003-12-29
126 . 가드텍 / 054150 / 2001-11-08
127 . 가로수닷컴 / 040610 / 2000-04-27
128 . 가비아 / 079940 / 2005-10-19
129 . 가야전자 / 042570 / 2000-10-19
130 . 가온미디어 / 078890 / 2005-07-12
131 . 가온칩스 / 399720 / 2022-05-20
132 . 감마누 / 192410 / 2014-08-14
133 . 강스템바이오텍 / 217730 / 2015-12-21
134 . 강원랜드 / 035250 / 2003-09-04
135 . 강원랜드 / 035250 / 2001-10-25
136 . 강원비앤이 / 114190 / 2009-11-20
137 . 거북선1호선박투자 / 092970 / 2006-11-07
138 . 거북선2호 / 101380 / 2008-04-25
139 . 거북선3호 / 102000 / 2008-04-25
140 . 거북선4호 / 108890 / 2009-03-06
141 . 거북선5호 / 114130 / 2009-10-01
142 . 거북선6호 / 114140 / 2009-10-01
143 . 거북선7호 / 134000 / 2010-11-10
144 . 거원시스템 / 056000 / 2003-07-11
145 . 게임빌 / 063080 / 2009-07-30
146 . 경남스틸 / 039240 / 2000-03-07
147 . 경동도시가스 / 267290 / 2017-05-12
148 . 경보제약 / 214390 / 2015-06-29
149 . 경봉 / 139050 / 2011-07-29
150 . 경조산업 / 050120 / 2002-04-25
151 . 고려반도체시스템 / 089890 / 2006-11-08
152 . 고려신용정보 / 049720 / 2002-01-31
153 . 고려제약 / 014570 / 2000-12-07
154 . 고바이오랩 / 348150 / 2020-11-18
155 . 고영테크놀러지 / 098460 / 2008-06-03
156 . 골든경매일호 / 084160 / 2005-07-27
157 . 골든나래리츠 / 119250 / 2010-05-03
158 . 골든브릿지이안5호 / 307870 / 2018-12-12
159 . 골든브릿지제2호스팩 / 206660 / 2015-02-05
160 . 골든브릿지제3호스팩 / 219580 / 2015-06-30
161 . 골든브릿지제4호스팩 / 227950 / 2015-11-18
162 . 골든센츄리 / 900280 / 2016-10-19
163 . 골프존 / 215000 / 2015-04-03
164 . 골프존 / 121440 / 2011-05-20
165 . 공구우먼 / 366030 / 2022-03-23
166 . 관악산업 / 076340 / 2015-05-18
167 . 광주신세계 / 037710 / 2002-02-07
168 . 광진윈텍 / 090150 / 2006-10-20
169 . 광희리츠 / 140910 / 2011-07-14
170 . 교보10호기업인수목적 / 355150 / 2020-09-18
171 . 교보11호스팩 / 397880 / 2021-12-20
172 . 교보12호스팩 / 421800 / 2022-06-24
173 . 교보13호스팩 / 440790 / 2022-11-02
174 . 교보3호스팩 / 208710 / 2014-12-24
175 . 교보4호스팩 / 222810 / 2015-08-13
176 . 교보5호스팩 / 223040 / 2015-08-27
177 . 교보7호스팩 / 267320 / 2017-06-22
178 . 교보8호스팩 / 307280 / 2018-12-05
179 . 교보9호스팩 / 331520 / 2019-10-29
180 . 교보KTB스팩 / 123410 / 2010-08-27
181 . 교보비엔케이스팩 / 242040 / 2016-09-07
182 . 교보위드스팩 / 205100 / 2014-11-07
183 . 교보증권 / 030610 / 2002-07-18
184 . 교촌에프앤비 / 339770 / 2020-11-12
185 . 구름컴퍼니 / 223220 / 2015-07-09
186 . 구스앤홈 / 329050 / 2019-07-12
187 . 구영테크 / 053270 / 2002-02-07
188 . 국민신용카드 / 031150 / 2000-07-04
189 . 국민옵티멈성장형일호증권투자회사 / 045090 / 2000-06-30
190 . 국민옵티멈전환형이호증권투자회사 / 039380 / 2000-03-17
191 . 국민은행 / 060000 / 2001-11-09
192 . 국보디자인 / 066620 / 2002-09-05
193 . 국순당 / 043650 / 2000-08-24
194 . 국일신동 / 060480 / 2014-12-29
195 . 국일제지 / 078130 / 2004-10-22
196 . 국제엘렉트릭코리아 / 053740 / 2003-03-21
197 . 국제통신 / 023670 / 2001-01-11
198 . 굿센 / 243870 / 2016-10-31
199 . 그로웰메탈 / 070080 / 2002-12-13
200 . 그루정보통신 / 040350 / 2002-01-10
201 . 그린소프트켐 / 083420 / 2005-10-20
202 . 그린에셋그린일호자산배분형펀드 / 045080 / 2000-07-24
203 . 그린플러스 / 186230 / 2019-08-07
204 . 그린플러스 / 186230 / 2013-12-20
205 . 극동자동화 / 272420 / 2017-06-28
206 . 글로벌광통신 / 135160 / 2015-12-28
207 . 글로벌스탠다드테크놀로지 / 083450 / 2006-02-01
208 . 글로벌엘리트일호자산배분형펀드 / 037670 / 2000-01-12
209 . 글로벌파워채권액티브혼합형펀드 / 064910 / 2002-01-28
210 . 글로벌하이테크일호전환형펀드 / 038770 / 2000-03-17
211 . 글로비스 / 086280 / 2005-12-26
212 . 금강종합건설 / 021320 / 2001-08-21
213 . 금강철강 / 053260 / 2002-01-04
214 . 금오하이텍 / 165270 / 2013-12-10
215 . 금호에이치티 / 214330 / 2015-11-11
216 . 금호엔티 / 130500 / 2013-08-02
217 . 금호타이어 / 073240 / 2005-02-17
218 . 금화피에스시 / 036190 / 2000-12-26
219 . 기가레인 / 049080 / 2013-12-19
220 . 기가텔레콤 / 064720 / 2003-07-04
221 . 기신정기 / 092440 / 2007-10-30
222 . 기업은행 / 024110 / 2003-12-24
223 . 까스텔바쟉 / 308100 / 2019-06-10
224 . 나노바이오시스 / 214610 / 2015-06-22
225 . 나노브릭 / 286750 / 2019-08-19
226 . 나노스 / 151910 / 2012-08-02
227 . 나노신소재 / 121600 / 2011-02-09
228 . 나노씨엠에스 / 247660 / 2021-03-09
229 . 나노캠텍 / 091970 / 2007-01-30
230 . 나노하이텍 / 071360 / 2003-10-24
231 . 나눔테크 / 244880 / 2016-06-01
232 . 나라소프트 / 288490 / 2018-11-23
233 . 나라엠앤디 / 051490 / 2001-06-12
234 . 나래나노텍 / 137080 / 2022-02-08
235 . 나래시스템 / 065910 / 2003-01-10
236 . 나모인터랙티브 / 039310 / 2000-06-09
237 . 나모텍 / 079340 / 2005-07-19
238 . 나무가 / 190510 / 2015-11-12
239 . 나무기술 / 167380 / 2016-11-28
240 . 나스미디어 / 089600 / 2013-07-17
241 . 나온테크 / 232680 / 2015-12-15
242 . 나우아이비캐피탈 / 293580 / 2018-10-04
243 . 나우코스 / 257990 / 2020-12-30
244 . 나이벡 / 138610 / 2011-07-13
245 . 나이스디앤비 / 130580 / 2011-12-22
246 . 나이스카드정보 / 036800 / 2000-05-03
247 . 나이코 / 192240 / 2014-02-28
248 . 나자인 / 014590 / 2000-01-06
249 . 남선홈웨어 / 069470 / 2002-11-11
250 . 남화산업 / 111710 / 2018-11-29
251 . 남화토건 / 091590 / 2012-01-31
252 . 내츄럴엔도텍 / 168330 / 2013-10-31
253 . 네오엠텔 / 096040 / 2008-01-25
254 . 네오오토 / 212560 / 2015-11-18
255 . 네오웨이브 / 042510 / 2001-01-03
256 . 네오위즈 / 042420 / 2000-06-27
257 . 네오위즈게임즈 / 095660 / 2007-07-02
258 . 네오위즈벅스 / 104200 / 2009-10-06
259 . 네오이뮨텍 / 950220 / 2021-03-16
260 . 네오크레마 / 311390 / 2019-08-22
261 . 네오티스 / 085910 / 2007-10-01
262 . 네오팜 / 092730 / 2007-01-30
263 . 네오펙트 / 290660 / 2018-11-28
264 . 네오피델리티 / 101400 / 2009-03-31
265 . 네이블커뮤니케이션즈 / 153460 / 2012-07-19
266 . 네추럴FNP / 086220 / 2015-07-09
267 . 네패스신소재 / 087730 / 2008-04-04
268 . 네패스아크 / 330860 / 2020-11-17
269 . 네프로아이티 / 950030 / 2009-04-24
270 . 넥센테크 / 073070 / 2004-01-28
271 . 넥솔론 / 110570 / 2011-10-14
272 . 넥스지 / 081970 / 2007-08-20
273 . 넥스턴 / 089140 / 2006-11-01
274 . 넥스트리밍 / 139670 / 2011-12-02
275 . 넥스트아이 / 137940 / 2011-06-14
276 . 넥스트인스트루먼트 / 078150 / 2004-12-08
277 . 넥스트칩 / 396270 / 2022-07-01
278 . 넥스트칩 / 092600 / 2007-06-26
279 . 넥스틴 / 348210 / 2020-10-08
280 . 넥실리온 / 098400 / 2008-01-30
281 . 넷마블게임즈 / 251270 / 2017-05-12
282 . 넷웨이브 / 047730 / 2001-05-10
283 . 노드메이슨 / 317860 / 2019-12-06
284 . 노랑풍선 / 104620 / 2019-01-30
285 . 노루페인트 / 090350 / 2006-07-03
286 . 노바렉스 / 194700 / 2018-11-14
287 . 노바텍 / 285490 / 2018-11-02
288 . 노브메타파마 / 229500 / 2015-10-28
289 . 노을 / 376930 / 2022-03-03
290 . 노터스 / 278650 / 2019-11-27
291 . 녹십자랩셀 / 144510 / 2016-06-23
292 . 녹십자엠에스 / 142280 / 2014-12-17
293 . 녹십자웰빙 / 234690 / 2019-10-14
294 . 농심홀딩스 / 072710 / 2003-07-30
295 . 농우바이오 / 054050 / 2002-04-02
296 . 누리텔레콤 / 040160 / 2000-08-29
297 . 누리플랜 / 069140 / 2010-10-26
298 . 뉴 / 160550 / 2014-12-23
299 . 뉴그리드 / 099440 / 2009-05-26
300 . 뉴로메카 / 348340 / 2022-11-04
301 . 뉴로스 / 126870 / 2012-02-15
302 . 뉴보텍 / 060260 / 2002-02-05
303 . 뉴소프트기술 / 060300 / 2002-01-10
304 . 뉴씨앤씨 / 045240 / 2001-08-07
305 . 뉴테크맨 / 049180 / 2002-05-23
306 . 뉴트리 / 270870 / 2018-12-13
307 . 뉴트리바이오텍 / 222040 / 2015-12-16
308 . 뉴파워프라즈마 / 144960 / 2016-11-30
309 . 뉴프라이드 / 900100 / 2010-04-21
310 . 뉴프렉스 / 085670 / 2006-01-17
311 . 능률영어사 / 053290 / 2002-12-10
312 . 닉스테크 / 063840 / 2013-11-12
313 . 다나와 / 119860 / 2011-01-24
314 . 다날 / 064260 / 2004-07-23
315 . 다린 / 204690 / 2014-09-18
316 . 다믈멀티미디어 / 093640 / 2007-10-19
317 . 다사테크 / 090710 / 2006-12-05
318 . 다산리츠 / 105380 / 2010-09-09
319 . 다산인터네트 / 039560 / 2000-06-22
320 . 다스텍 / 043710 / 2002-07-11
321 . 다원넥스뷰 / 323350 / 2019-05-21
322 . 다원시스 / 068240 / 2010-09-14
323 . 다윈텍 / 077280 / 2004-06-02
324 . 다음커머스 / 090090 / 2006-06-12
325 . 다이노나 / 086080 / 2018-05-08
326 . 다이오진 / 271850 / 2017-06-19
327 . 다임알짜채권플러스혼합형이호펀드 / 051960 / 2001-04-02
328 . 다임알짜채권플러스혼합형일호펀드 / 050350 / 2000-12-18
329 . 다임채권형펀드1호 / 044750 / 2000-06-30
330 . 단디바이오 / 343090 / 2020-04-24
331 . 단암전자통신 / 040670 / 2000-08-18
332 . 대교 / 019680 / 2004-02-03
333 . 대구도시가스 / 117580 / 2010-12-24
334 . 대구방송 / 033830 / 2010-11-29
335 . 대덕전자 / 353200 / 2020-05-21
336 . 대동고려삼 / 178600 / 2013-12-20
337 . 대동스틸 / 048470 / 2002-01-10
338 . 대림씨엔에스 / 004440 / 2016-03-30
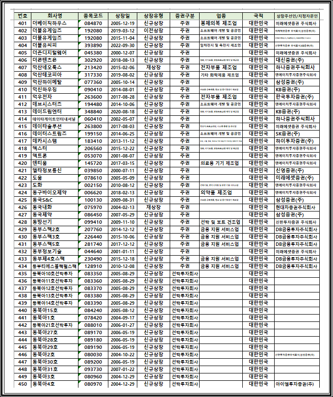
339 . 대명에너지 / 389260 / 2022-05-16
340 . 대모 / 317850 / 2019-07-24
341 . 대보마그네틱 / 290670 / 2018-11-06
342 . 대봉엘에스 / 078140 / 2005-12-23
343 . 대상홀딩스 / 084690 / 2005-08-17
344 . 대성미생물연구소 / 036480 / 2000-04-04
345 . 대성산업 / 128820 / 2010-07-30
346 . 대성파인텍 / 104040 / 2009-01-23
347 . 대성하이텍 / 129920 / 2022-08-22
348 . 대신밸런스제10호스팩 / 387310 / 2021-09-17
349 . 대신밸런스제11호스팩 / 397500 / 2021-12-02
350 . 대신밸런스제12호스팩 / 426670 / 2022-07-14
351 . 대신밸런스제13호스팩 / 438220 / 2022-11-28
352 . 대신밸런스제14호스팩 / 442310 / 2022-12-05
353 . 대신밸런스제1호스팩 / 217270 / 2015-06-18
354 . 대신밸런스제2호스팩 / 232140 / 2015-12-24
355 . 대신밸런스제3호스팩 / 253590 / 2018-04-04
356 . 대신밸런스제4호스팩 / 262830 / 2017-03-03
357 . 대신밸런스제5호스팩 / 303030 / 2018-08-30
358 . 대신밸런스제6호스팩 / 307750 / 2018-12-19
359 . 대신밸런스제7호스팩 / 332290 / 2019-10-11
360 . 대신밸런스제8호스팩 / 336570 / 2019-12-19
361 . 대신밸런스제9호스팩 / 369370 / 2020-12-23
362 . 대신증권그로쓰스팩 / 123550 / 2010-08-24
363 . 대양전기공업 / 108380 / 2011-07-08
364 . 대영에이.앤.브이 / 038810 / 2000-05-09
365 . 대우SBI스팩1호 / 215480 / 2015-05-13
366 . 대우건설 / 047040 / 2001-03-23
367 . 대우스팩2호 / 204440 / 2014-10-22
368 . 대우스팩3호 / 215580 / 2015-05-19
369 . 대우인터내셔널 / 047050 / 2001-03-23
370 . 대우정밀 / 064960 / 2002-03-11
371 . 대우조선공업 / 042660 / 2001-02-02
372 . 대우종합기계 / 042670 / 2001-02-02
373 . 대우증권스팩 / 121910 / 2010-03-03
374 . 대우캐피탈 / 033660 / 2009-06-25
375 . 대웅제약 / 069620 / 2002-11-01
376 . 대원 / 007680 / 2017-12-01
377 . 대원모방 / 311840 / 2018-12-27
378 . 대원씨아이 / 060280 / 2002-07-03
379 . 대원씨앤에이홀딩스 / 048910 / 2001-07-31
380 . 대유 / 290380 / 2018-08-10
381 . 대유에이피 / 290120 / 2018-12-07
382 . 대유위니아 / 071460 / 2016-07-14
383 . 대인정보시스템 / 054170 / 2001-10-11
384 . 대정크린 / 035870 / 2000-06-27
385 . 대정화금 / 120240 / 2010-12-20
386 . 대주레포츠 / 071530 / 2004-02-17
387 . 대주이엔티 / 114920 / 2013-07-01
388 . 대주전자재료 / 078600 / 2004-12-10
389 . 대진공업 / 065500 / 2002-09-19
390 . 대진디엠피 / 065690 / 2002-07-16
391 . 대창메탈 / 096350 / 2007-12-17
392 . 대창스틸 / 140520 / 2014-12-05
393 . 대한과학 / 131220 / 2011-10-11
394 . 대한뉴팜 / 054670 / 2002-02-26
395 . 대한바이오링크 / 041500 / 2001-01-16
396 . 대한생명 / 088350 / 2010-03-17
397 . 대한제강 / 084010 / 2005-10-31
398 . 대호에이엘 / 069460 / 2002-11-11
399 . 대화제약 / 067080 / 2003-02-14
400 . 더네이쳐홀딩스 / 298540 / 2020-07-27
401 . 더베이직하우스 / 084870 / 2005-12-19
402 . 더블유게임즈 / 192080 / 2019-03-12
403 . 더블유게임즈 / 192080 / 2015-11-04
404 . 더블유씨피 / 393890 / 2022-09-30
405 . 더존디지털웨어 / 045380 / 2000-12-07
406 . 더콘텐츠온 / 302920 / 2018-08-13
407 . 덕산네오룩스 / 213420 / 2015-02-06
408 . 덕산테코피아 / 317330 / 2019-08-02
409 . 덕산하이메탈 / 077360 / 2005-10-14
410 . 덕신하우징 / 090410 / 2014-08-01
411 . 덕우전자 / 263600 / 2017-08-28
412 . 데브시스터즈 / 194480 / 2014-10-06
413 . 데이드림엔터 / 348840 / 2020-08-18
414 . 데이타게이트인터내셔널 / 060410 / 2002-05-07
415 . 데이타솔루션 / 263800 / 2017-08-03
416 . 데이터스트림즈 / 199150 / 2014-06-25
417 . 데카시스템 / 183410 / 2013-11-12
418 . 덱스터 / 206560 / 2015-12-22
419 . 덱트론 / 053070 / 2001-08-07
420 . 덴티움 / 145720 / 2017-03-15
421 . 델타정보통신 / 039850 / 2000-07-11
422 . 도움 / 078610 / 2005-05-09
423 . 도화 / 002150 / 2010-08-12
424 . 동구바이오제약 / 006620 / 2018-02-13
425 . 동국S&C / 100130 / 2009-08-31
426 . 동국내화 / 075970 / 2004-02-13
427 . 동국제약 / 086450 / 2007-05-29
428 . 동방선기 / 099410 / 2009-11-10
429 . 동부스팩2호 / 207760 / 2014-12-12
430 . 동부스팩3호 / 226440 / 2015-10-06
431 . 동부스팩5호 / 281740 / 2017-12-12
432 . 동부정보기술 / 044640 / 2001-01-11
433 . 동부제4호스팩 / 230490 / 2015-12-18
434 . 동부티에스블랙펄스팩 / 128910 / 2010-12-08
435 . 동북아10호선박투자 / 083350 / 2005-08-29
436 . 동북아11호선박투자 / 083360 / 2005-08-29
437 . 동북아12호선박투자 / 083370 / 2005-08-29
438 . 동북아13호선박투자 / 083380 / 2005-08-29
439 . 동북아14호선박투자 / 083390 / 2005-08-29
440 . 동북아15호 / 084240 / 2005-08-12
441 . 동북아1호 / 078420 / 2004-09-17
442 . 동북아21호선박투자 / 088010 / 2006-01-27
443 . 동북아27호 / 089170 / 2006-05-19
444 . 동북아28호 / 089180 / 2006-05-19
445 . 동북아29호 / 089190 / 2006-05-19
446 . 동북아2호 / 080030 / 2004-10-22
447 . 동북아30호 / 089200 / 2006-05-19
448 . 동북아31호 / 093730 / 2007-01-22
449 . 동북아3호 / 080960 / 2004-12-29
450 . 동북아4호 / 080970 / 2004-12-29
451 . 동북아5호 / 080980 / 2004-12-29
452 . 동북아6호 / 080410 / 2004-11-30
453 . 동북아8호 / 082110 / 2005-02-22
454 . 동북아9호 / 083120 / 2005-05-27
455 . 동서 / 026960 / 2016-07-15
456 . 동서정보기술 / 055000 / 2001-12-18
457 . 동성홀딩스 / 102260 / 2008-06-23
458 . 동아에스텍 / 058730 / 2004-08-02
459 . 동아에스티 / 170900 / 2013-04-08
460 . 동아엘텍 / 088130 / 2007-01-03
461 . 동아지질 / 028100 / 2009-06-12
462 . 동아체육용품 / 900110 / 2010-04-23
463 . 동아타이어 / 282690 / 2017-11-29
464 . 동아팜텍 / 140410 / 2012-01-20
465 . 동아화성 / 041930 / 2001-12-26
466 . 동양강철 / 001780 / 2007-06-07
467 . 동양계전공업 / 079960 / 2005-02-01
468 . 동양고속 / 084670 / 2005-07-25
469 . 동양매직 / 023020 / 2000-07-20
470 . 동양반도체장비 / 036270 / 2000-01-20
471 . 동양밸류스팩 / 122290 / 2010-03-25
472 . 동양생명보험 / 082640 / 2009-10-08
473 . 동양시스템즈 / 030790 / 2010-11-02
474 . 동양시스템즈 / 030790 / 2000-12-26
475 . 동양알엔디 / 038990 / 2000-05-23
476 . 동양에스텍 / 060380 / 2002-02-05
477 . 동양크레디텍 / 056340 / 2002-11-08
478 . 동양텔레콤 / 007150 / 2000-07-25
479 . 동양파일 / 228340 / 2016-04-06
480 . 동양피스톤 / 092780 / 2017-12-08
481 . 동양피엔에프 / 104460 / 2009-12-22
482 . 동우 / 088910 / 2006-06-23
483 . 동우 / 048640 / 2001-01-09
484 . 동운아나텍 / 094170 / 2015-06-30
485 . 동원F&B / 049770 / 2000-11-23
486 . 동원금융지주 / 071050 / 2003-07-21
487 . 동원비엔피장보고이호자산배분형펀드 / 039180 / 2000-03-17
488 . 동일고무벨트 / 163560 / 2012-10-19
489 . 동일금속 / 109860 / 2009-07-28
490 . 동일산업 / 004890 / 2005-06-30
491 . 동일제강 / 002690 / 2015-09-24
492 . 동진에코텍 / 054250 / 2001-12-20
493 . 동화씨엠테크 / 060560 / 2002-07-11
494 . 두리정보통신 / 053170 / 2002-01-10
495 . 두산밥캣 / 241560 / 2016-11-18
496 . 두산솔루스 / 336370 / 2019-10-18
497 . 두산엔진 / 082740 / 2011-01-04
498 . 두산퓨얼셀 / 336260 / 2019-10-18
499 . 두올 / 016740 / 2016-07-29
500 . 두올산업 / 078590 / 2005-10-27
501 . 두원석재 / 270020 / 2017-09-08
502 . 듀오백코리아 / 073190 / 2004-02-06
503 . 듀켐바이오 / 176750 / 2014-12-29
504 . 드림씨아이에스 / 223250 / 2020-05-22
505 . 드림원 / 052310 / 2001-05-24
506 . 드림텍 / 192650 / 2019-03-14
507 . 드림티엔터테인먼트 / 220110 / 2015-06-24
508 . 디날리아이티 / 046390 / 2001-01-11
509 . 디바이스이엔지 / 187870 / 2017-12-20
510 . 디보스 / 080140 / 2005-05-27
511 . 디브이에스코리아 / 046400 / 2002-10-01
512 . 디비금융스팩10호 / 404950 / 2022-01-20
513 . 디스플레이테크 / 066670 / 2002-12-30
514 . 디아이디 / 074130 / 2005-07-27
515 . 디아이씨 / 092200 / 2007-10-18
516 . 디아이티 / 110990 / 2018-08-07
517 . 디알젬 / 263690 / 2018-11-22
518 . 디앤디플랫폼리츠 / 377190 / 2021-08-27
519 . 디앤씨미디어 / 263720 / 2017-08-01
520 . 디앤티 / 089240 / 2006-12-22
521 . 디어유 / 376300 / 2021-11-10
522 . 디에스아이 / 039840 / 2000-06-29
523 . 디에스알제강 / 069730 / 2003-01-28
524 . 디에스엘시디 / 051710 / 2004-06-18
525 . 디에스케이 / 109740 / 2009-09-23
526 . 디에이테크놀로지 / 196490 / 2014-11-19
527 . 디에이피 / 066900 / 2004-05-14
528 . 디엔에이링크 / 127120 / 2011-12-26
529 . 디엔에프 / 092070 / 2007-11-16
530 . 디엠씨 / 101000 / 2009-11-06
531 . 디엠에스 / 068790 / 2004-10-01
532 . 디엠테크놀로지 / 065340 / 2002-09-26
533 . 디엠티 / 134580 / 2013-11-26
534 . 디엠티 / 065270 / 2002-10-23
535 . 디오메디칼 / 212310 / 2016-07-26
536 . 디오스텍 / 085660 / 2005-12-27
537 . 디오텍 / 108860 / 2009-12-10
538 . 디와이 / 044180 / 2000-11-16
539 . 디와이엘엔제이 / 207230 / 2015-09-14
540 . 디와이파워 / 210540 / 2015-01-15
541 . 디이시스 / 053200 / 2001-12-26
542 . 디이엔티 / 079810 / 2005-01-26
543 . 디자인 / 227100 / 2018-11-15
544 . 디젠스 / 113810 / 2012-11-22
545 . 디지아이 / 043360 / 2001-07-20
546 . 디지캡 / 197140 / 2018-09-07
547 . 디지캡 / 197140 / 2014-05-30
548 . 디지탈디바이스 / 061140 / 2004-10-29
549 . 디지탈멀티텍 / 073780 / 2004-05-18
550 . 디지탈아리아 / 115450 / 2010-03-26
551 . 디지탈온넷 / 060240 / 2002-01-04
552 . 디지탈옵틱 / 106520 / 2012-07-13
553 . 디지탈캠프 / 045970 / 2000-08-03
554 . 디지탈퍼스트 / 046320 / 2001-04-10
555 . 디지털대성 / 068930 / 2003-10-17
556 . 디지털텍 / 038340 / 2001-11-22
557 . 디지텍시스템스 / 091690 / 2007-07-04
558 . 디지텔 / 037740 / 2000-03-03
559 . 디케이락 / 105740 / 2010-11-12
560 . 디케이앤디 / 263020 / 2018-11-20
561 . 디케이티 / 290550 / 2018-12-21
562 . 디티앤씨 / 187220 / 2014-12-17
563 . 디티앤씨알오 / 383930 / 2022-11-11
564 . 디피앤케이 / 189700 / 2014-06-10
565 . 디피코 / 163430 / 2018-05-16
566 . 딜리 / 131180 / 2011-01-31
567 . 딥노이드 / 315640 / 2021-08-17
568 . 라닉스 / 317120 / 2019-09-18
569 . 라온테크 / 232680 / 2021-06-17
570 . 라온피플 / 300120 / 2019-10-18
571 . 라이온켐텍 / 171120 / 2013-11-19
572 . 라이프사이언스테크놀로지 / 285770 / 2017-12-21
573 . 라이프시맨틱스 / 347700 / 2021-03-23
574 . 라파스 / 214260 / 2019-11-11
575 . 락앤락 / 115390 / 2010-01-28
576 . 래몽래인 / 200350 / 2021-12-30
577 . 래몽래인 / 200350 / 2014-12-24
578 . 램테크놀러지 / 171010 / 2013-11-18
579 . 랩지노믹스 / 084650 / 2014-12-16
580 . 랩지노믹스 / 084650 / 2013-07-01
581 . 럭스피아 / 092590 / 2015-10-30
582 . 레고켐바이오 / 141080 / 2013-05-10
583 . 레몬 / 294140 / 2020-02-28
584 . 레이 / 228670 / 2019-08-08
585 . 레이언스 / 228850 / 2016-04-11
586 . 레이저쎌 / 412350 / 2022-06-24
587 . 레이젠 / 047440 / 2001-11-20
588 . 레인보우로보틱스 / 277810 / 2021-02-03
589 . 레인콤 / 060570 / 2003-12-19
590 . 렉스진바이오텍 / 065170 / 2002-11-19
591 . 로고스바이오 / 238120 / 2016-11-03
592 . 로보스타 / 090360 / 2011-10-17
593 . 로보쓰리 / 238500 / 2016-04-20
594 . 로보티즈 / 108490 / 2018-10-26
595 . 로스웰 / 900260 / 2016-06-30
596 . 로지시스 / 067730 / 2015-07-29
597 . 로체시스템즈 / 071280 / 2003-11-14
598 . 로커스테크놀로지스 / 070590 / 2004-01-08
599 . 롯데관광개발 / 032350 / 2006-06-08
600 . 롯데렌탈 / 089860 / 2021-08-19
601 . 롯데리츠 / 330590 / 2019-10-30
602 . 롯데쇼핑 / 023530 / 2006-02-09
603 . 롯데정보통신 / 286940 / 2018-07-27
604 . 롯데제과 / 280360 / 2017-10-30
605 . 루닛 / 328130 / 2022-07-21
606 . 루미마이크로 / 082800 / 2005-11-18
607 . 루보 / 051170 / 2001-10-23
608 . 루켄테크놀러지스 / 162120 / 2017-07-25
609 . 루트락 / 253610 / 2020-12-24
610 . 룸앤데코 / 067130 / 2002-06-17
611 . 리노공업 / 058470 / 2001-12-18
612 . 리더컴 / 056140 / 2001-12-20
613 . 리드 / 197210 / 2015-11-20
614 . 리드 / 197210 / 2014-09-26
615 . 리메드 / 302550 / 2019-12-06
616 . 리메드 / 302550 / 2018-08-14
617 . 리바트 / 079430 / 2005-11-22
618 . 리젠트빅히트40전환형펀드 / 039270 / 2000-04-21
619 . 리젠트코스닥30전환형드림펀드 / 043350 / 2000-06-16
620 . 리켐 / 131100 / 2011-06-14
621 . 리파인 / 377450 / 2021-10-29
622 . 린드먼아시아 / 277070 / 2018-03-14
623 . 링네트 / 042500 / 2002-01-10
624 . 링크웨어 / 038920 / 2000-07-06
625 . 링크제니시스 / 219420 / 2018-02-05
626 . 링크제니시스 / 219420 / 2016-07-29
627 . 마니커 / 027740 / 2002-10-29
628 . 마니커 / 027740 / 2000-12-07
629 . 마니커에프앤지 / 195500 / 2019-08-20
630 . 마스타테크론 / 045400 / 2001-08-17
631 . 마스턴프리미어리츠 / 357430 / 2022-05-31
632 . 마이다스30전화형드림펀드 / 043040 / 2000-06-16
633 . 마이다스스페셜안정형펀드 / 045280 / 2000-07-10
634 . 마이다스스페셜자산배분형펀드 / 039540 / 2000-03-31
635 . 마이다스전환형이호펀드 / 038310 / 2000-01-28
636 . 마이다스차익거래삼호혼합형펀드 / 067410 / 2002-05-06
637 . 마이다스차익거래안정혼합형펀드 / 060580 / 2001-10-04
638 . 마이다스차익거래혼합형이호펀드 / 053530 / 2001-04-09
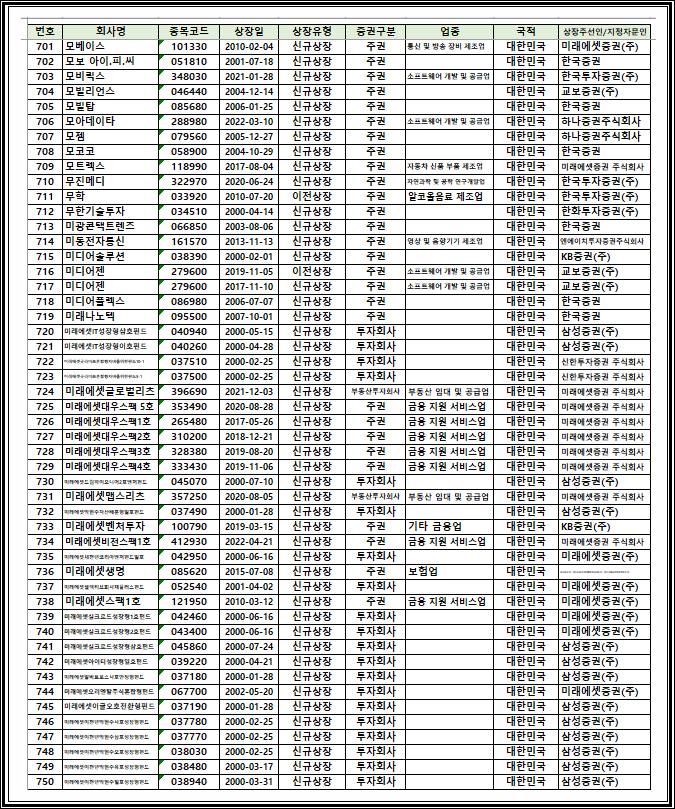
639 . 마이다스차익거래혼합형펀드 / 048660 / 2000-09-25
640 . 마이다스코스피코스닥밸런스펀드(자산 / 040860 / 2000-04-28
641 . 마이다스하이테크성장형3호펀드 / 040520 / 2000-04-21
642 . 마이다스하이테크성장형이호펀드 / 039050 / 2000-03-17
643 . 마이다스하이테크전환형펀드 / 039920 / 2000-04-21
644 . 마이애셋징기스칸성장형1호펀드 / 039170 / 2000-03-31
645 . 마이크로디지탈 / 305090 / 2019-06-05
646 . 마이크로엔엑스 / 448780 / 2022-12-21
647 . 마이크로컨텍솔 / 098120 / 2008-09-23
648 . 마이크로프랜드 / 147760 / 2016-12-12
649 . 마인에스에이 / 039500 / 2000-03-16
650 . 마인즈랩 / 377480 / 2021-11-23
651 . 마크로밀엠브레인 / 169330 / 2020-07-01
652 . 마크로젠 / 038290 / 2000-02-22
653 . 만도 / 204320 / 2014-10-06
654 . 만도 / 060980 / 2010-05-19
655 . 매일유업 / 267980 / 2017-06-05
656 . 매직마이크로 / 127160 / 2015-11-19
657 . 매직마이크로 / 127160 / 2013-12-20
658 . 매커스 / 093520 / 2007-02-12
659 . 맥스로텍 / 141070 / 2012-11-16
660 . 맥스엔지니어링 / 085370 / 2006-07-04
661 . 맥스트 / 377030 / 2021-07-27
662 . 맥쿼리센트럴 / 076850 / 2004-01-08
663 . 맵스리얼티1 / 094800 / 2007-04-09
664 . 맵스베트남1 / 094520 / 2007-02-01
665 . 머큐리 / 100590 / 2018-12-14
666 . 메가스터디 / 072870 / 2004-12-21
667 . 메가스터디교육 / 215200 / 2015-05-04
668 . 메가엠디 / 133750 / 2015-12-18
669 . 메드팩토 / 235980 / 2019-12-19
670 . 메디쎄이 / 200580 / 2015-10-20
671 . 메디아나 / 041920 / 2014-10-07
672 . 메디아나 / 041920 / 2013-07-01
673 . 메디안디노스틱 / 233250 / 2017-06-26
674 . 메디오피아테크날리지 / 056200 / 2002-01-29
675 . 메디젠휴먼케어 / 236340 / 2016-01-26
676 . 메디톡스 / 086900 / 2009-01-16
677 . 메디포스트 / 078160 / 2005-07-29
678 . 메리츠금융지주 / 138040 / 2011-05-13
679 . 메모리앤테스팅 / 065150 / 2007-07-18
680 . 메카로 / 241770 / 2017-12-06
681 . 메타바이오메드 / 059210 / 2008-04-15
682 . 메탈라이프 / 327260 / 2019-12-24
683 . 멕아이씨에스 / 058110 / 2015-12-14
684 . 멜파스 / 096640 / 2009-12-18
685 . 명문제약 / 017180 / 2008-07-10
686 . 명성금속 / 088700 / 2008-01-25
687 . 명성티엔에스 / 257370 / 2018-09-13
688 . 명신산업 / 009900 / 2020-12-07
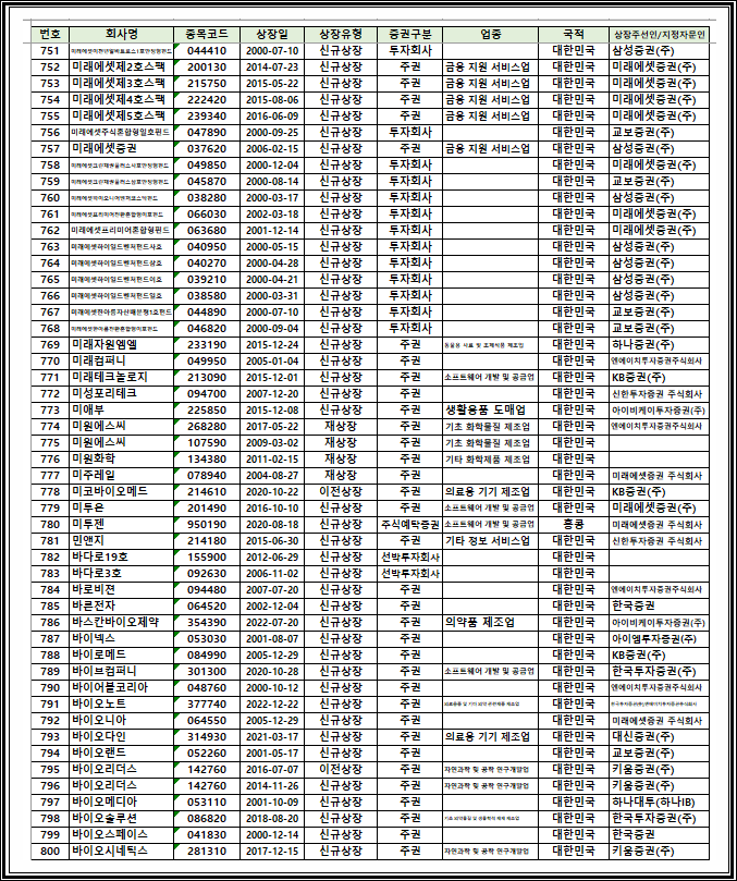
689 . 명진아트 / 065650 / 2003-01-21
690 . 명진홀딩스 / 267060 / 2017-08-24
691 . 모건코리아 / 019990 / 2006-02-01
692 . 모다정보통신 / 149940 / 2012-09-25
693 . 모닷텔 / 048150 / 2002-11-05
694 . 모델솔루션 / 417970 / 2022-10-07
695 . 모두투어네트워크 / 080160 / 2005-07-26
696 . 모두투어리츠 / 204210 / 2016-09-22
697 . 모디아소프트 / 046000 / 2001-01-11
698 . 모린스 / 110310 / 2009-09-25
699 . 모바일리더 / 100030 / 2010-05-25
700 . 모바일어플라이언스 / 087260 / 2017-02-24
701 . 모베이스 / 101330 / 2010-02-04
702 . 모보 아이.피.씨 / 051810 / 2001-07-18
703 . 모비릭스 / 348030 / 2021-01-28
704 . 모빌리언스 / 046440 / 2004-12-14
705 . 모빌탑 / 085680 / 2006-01-25
706 . 모아데이타 / 288980 / 2022-03-10
707 . 모젬 / 079560 / 2005-12-27
708 . 모코코 / 058900 / 2004-10-29
709 . 모트렉스 / 118990 / 2017-08-04
710 . 무진메디 / 322970 / 2020-06-24
711 . 무학 / 033920 / 2010-07-20
712 . 무한기술투자 / 034510 / 2000-04-14
713 . 미광콘택트렌즈 / 066850 / 2003-08-06
714 . 미동전자통신 / 161570 / 2013-11-13
715 . 미디어솔루션 / 038390 / 2000-02-01
716 . 미디어젠 / 279600 / 2019-11-05
717 . 미디어젠 / 279600 / 2017-11-10
718 . 미디어플렉스 / 086980 / 2006-07-07
719 . 미래나노텍 / 095500 / 2007-10-01
720 . 미래에셋IT성장형삼호펀드 / 040940 / 2000-05-15
721 . 미래에셋IT성장형이호펀드 / 040260 / 2000-04-28
722 . 미래에셋굿라이프혼합형자녀를위한펀드10-1 / 037510 / 2000-02-25
723 . 미래에셋굿라이프혼합형자녀를위한펀드5-1 / 037500 / 2000-02-25
724 . 미래에셋글로벌리츠 / 396690 / 2021-12-03
725 . 미래에셋대우스팩 5호 / 353490 / 2020-08-28
726 . 미래에셋대우스팩1호 / 265480 / 2017-05-26
727 . 미래에셋대우스팩2호 / 310200 / 2018-12-21
728 . 미래에셋대우스팩3호 / 328380 / 2019-08-20
729 . 미래에셋대우스팩4호 / 333430 / 2019-11-06
730 . 미래에셋드림파이오니어2호벤처펀드 / 045070 / 2000-07-10
731 . 미래에셋맵스리츠 / 357250 / 2020-08-05
732 . 미래에셋박현주자산배분형일호펀드 / 037490 / 2000-01-28
733 . 미래에셋벤처투자 / 100790 / 2019-03-15
734 . 미래에셋비전스팩1호 / 412930 / 2022-04-21
735 . 미래에셋새천년코리아벤처펀드일호 / 042950 / 2000-06-16
736 . 미래에셋생명 / 085620 / 2015-07-08
737 . 미래에셋셀렉티브회사채플러스펀드 / 052540 / 2001-04-02
738 . 미래에셋스팩1호 / 121950 / 2010-03-12
739 . 미래에셋실크로드성장형1호펀드 / 042460 / 2000-06-16
740 . 미래에셋실크로드성장형2호펀드 / 043400 / 2000-06-16
741 . 미래에셋실크로드성장형삼호펀드 / 045860 / 2000-07-24
742 . 미래에셋아이티성장형일호펀드 / 039220 / 2000-04-21
743 . 미래에셋알바트로스사호안정형펀드 / 037180 / 2000-01-28
744 . 미래에셋오리엔탈주식혼합형펀드 / 067700 / 2002-05-20
745 . 미래에셋이글오호전환형펀드 / 037190 / 2000-01-28
746 . 미래에셋이천년박현주사호성장형펀드 / 037780 / 2000-02-25
747 . 미래에셋이천년박현주삼호성장형펀드 / 037770 / 2000-02-25
748 . 미래에셋이천년박현주오호성장형펀드 / 038030 / 2000-02-25
749 . 미래에셋이천년박현주육호성장형펀드 / 038480 / 2000-03-17
750 . 미래에셋이천년박현주칠호성장형펀드 / 038940 / 2000-03-31
751 . 미래에셋이천년알바트로스1호안정형펀드 / 044410 / 2000-07-10
752 . 미래에셋제2호스팩 / 200130 / 2014-07-23
753 . 미래에셋제3호스팩 / 215750 / 2015-05-22
754 . 미래에셋제4호스팩 / 222420 / 2015-08-06
755 . 미래에셋제5호스팩 / 239340 / 2016-06-09
756 . 미래에셋주식혼합형일호펀드 / 047890 / 2000-09-25
757 . 미래에셋증권 / 037620 / 2006-02-15
758 . 미래에셋크린채권플러스사호안정형펀드 / 049850 / 2000-12-04
759 . 미래에셋크린채권플러스삼호안정형펀드 / 045870 / 2000-08-14
760 . 미래에셋파이오니어벤처코스닥펀드 / 038280 / 2000-03-17
761 . 미래에셋프리미어전환혼합형이호펀드 / 066030 / 2002-03-18
762 . 미래에셋프리미어혼합형펀드 / 063680 / 2001-12-14
763 . 미래에셋하이일드벤처펀드사호 / 040950 / 2000-05-15
764 . 미래에셋하이일드벤처펀드삼호 / 040270 / 2000-04-28
765 . 미래에셋하이일드벤처펀드이호 / 039210 / 2000-04-21
766 . 미래에셋하이일드벤처펀드일호 / 038580 / 2000-03-31
767 . 미래에셋한아름자산배분형1호펀드 / 044890 / 2000-07-10
768 . 미래에셋한아름전환혼합형이호펀드 / 046820 / 2000-09-04
769 . 미래자원엠엘 / 233190 / 2015-12-24
770 . 미래컴퍼니 / 049950 / 2005-01-04
771 . 미래테크놀로지 / 213090 / 2015-12-01
772 . 미성포리테크 / 094700 / 2007-12-20
773 . 미애부 / 225850 / 2015-12-08
774 . 미원에스씨 / 268280 / 2017-05-22
775 . 미원에스씨 / 107590 / 2009-03-02
776 . 미원화학 / 134380 / 2011-02-15
777 . 미주레일 / 078940 / 2004-08-27
778 . 미코바이오메드 / 214610 / 2020-10-22
779 . 미투온 / 201490 / 2016-10-10
780 . 미투젠 / 950190 / 2020-08-18
781 . 민앤지 / 214180 / 2015-06-30
782 . 바다로19호 / 155900 / 2012-06-29
783 . 바다로3호 / 092630 / 2006-11-02
784 . 바로비젼 / 094480 / 2007-07-20
785 . 바른전자 / 064520 / 2002-12-04
786 . 바스칸바이오제약 / 354390 / 2022-07-20
787 . 바이넥스 / 053030 / 2001-08-07
788 . 바이로메드 / 084990 / 2005-12-29
789 . 바이브컴퍼니 / 301300 / 2020-10-28
790 . 바이어블코리아 / 048760 / 2000-10-12
791 . 바이오노트 / 377740 / 2022-12-22
792 . 바이오니아 / 064550 / 2005-12-29
793 . 바이오다인 / 314930 / 2021-03-17
794 . 바이오랜드 / 052260 / 2001-05-17
795 . 바이오리더스 / 142760 / 2016-07-07
796 . 바이오리더스 / 142760 / 2014-11-26
797 . 바이오메디아 / 053110 / 2001-10-09
798 . 바이오솔루션 / 086820 / 2018-08-20
799 . 바이오스페이스 / 041830 / 2000-12-14
800 . 바이오시네틱스 / 281310 / 2017-12-15
801 . 바이오씨앤디 / 217950 / 2015-11-05
802 . 바이오에프디엔씨 / 251120 / 2022-02-21
803 . 바이오인프라생명과학 / 266470 / 2020-07-22
804 . 바이오코아 / 216400 / 2015-06-29
805 . 바이오톡스텍 / 086040 / 2007-09-21
806 . 바이오프로테크 / 199290 / 2016-12-08
807 . 바이오플러스 / 099430 / 2021-09-27
808 . 바이옵트로 / 222160 / 2021-11-18
809 . 바이옵트로 / 222160 / 2016-03-10
810 . 바이젠셀 / 308080 / 2021-08-25
811 . 바이킹성장형일호증권투자회사 / 043700 / 2000-06-16
812 . 바텍 / 043150 / 2006-09-29
813 . 박셀바이오 / 323990 / 2020-09-22
814 . 반도체엔지니어링 / 038720 / 2001-01-18
815 . 배럴 / 267790 / 2018-02-01
816 . 백금정보통신 / 046310 / 2002-02-05
817 . 백산오피씨 / 066110 / 2002-07-16
818 . 버추얼텍 / 036620 / 2000-01-11
819 . 범우이엔지 / 083650 / 2005-12-02
820 . 범한퓨얼셀 / 382900 / 2022-06-17
821 . 베셀 / 177350 / 2015-06-19
822 . 베셀 / 177350 / 2013-07-01
823 . 베스파 / 299910 / 2018-12-03
824 . 베트남개발1 / 096300 / 2007-06-13
825 . 벨로체 / 040750 / 2000-12-05
826 . 벨코정보통신 / 053470 / 2001-07-31
827 . 보광산업 / 225530 / 2015-12-17
828 . 보라티알 / 250000 / 2017-06-08
829 . 보로노이 / 310210 / 2022-06-24
830 . 보이스웨어 / 060230 / 2002-06-25
831 . 본느 / 242420 / 2016-05-16
832 . 볼빅 / 206950 / 2015-12-30
833 . 볼빅 / 048550 / 2001-01-18
834 . 부국철강 / 026940 / 2008-10-14
835 . 부국퓨쳐스타즈스팩 / 123300 / 2010-10-29
836 . 부스타 / 008470 / 2011-02-23
837 . 뷰노 / 338220 / 2021-02-26
838 . 뷰웍스 / 100120 / 2009-04-10
839 . 브랜드엑스코퍼레이션 / 337930 / 2020-08-13
840 . 브레인즈컴퍼니 / 099390 / 2021-08-19
841 . 브레인컨설팅 / 049690 / 2002-01-08
842 . 브리지텍 / 064480 / 2008-06-04
843 . 브릿지바이오 / 288330 / 2019-12-20
844 . 브이씨 / 365900 / 2022-02-24
845 . 브이원텍 / 251630 / 2017-07-13
846 . 블루코드테크놀로지 / 043610 / 2000-07-20
847 . 블루콤 / 033560 / 2011-01-26
848 . 비나텍 / 126340 / 2020-09-23
849 . 비나텍 / 126340 / 2013-07-01
850 . 비디아이 / 148140 / 2017-11-09
851 . 비디아이 / 148140 / 2017-01-16
852 . 비비씨 / 318410 / 2020-09-21
853 . 비씨엔씨 / 146320 / 2022-03-03
854 . 비씨월드제약 / 200780 / 2014-12-15
855 . 비아이이엠티 / 052900 / 2005-01-18
856 . 비아트론 / 141000 / 2012-05-04
857 . 비앤에스미디어 / 156170 / 2013-07-01
858 . 비에이치 / 090460 / 2007-01-26
859 . 비엔디생활건강 / 215050 / 2015-03-30
860 . 비엔에프코퍼레이션 / 271780 / 2018-11-30
861 . 비엔케이제1호스팩 / 445360 / 2022-12-22
862 . 비엠티 / 086670 / 2007-11-02
863 . 비유와상징 / 100220 / 2008-06-30
864 . 비젼텔레콤 / 053590 / 2001-08-23
865 . 비즈니스온 / 138580 / 2017-11-30
866 . 비지스틸 / 179440 / 2014-02-28
867 . 비츠로셀 / 082920 / 2009-10-28
868 . 비츠로시스 / 054220 / 2001-12-26
869 . 비츠로테크 / 042370 / 2000-08-03
870 . 비테크놀러지 / 040130 / 2000-05-03
871 . 비트나인 / 357880 / 2021-11-10
872 . 비트윈 / 066410 / 2003-12-19
873 . 비플라이소프트 / 148780 / 2022-06-20
874 . 비플라이소프트 / 148780 / 2016-11-16
875 . 비피도 / 238200 / 2018-12-26
876 . 빅솔론 / 093190 / 2007-08-20
877 . 빅텍 / 065450 / 2003-02-05
878 . 빅히트 / 352820 / 2020-10-15
879 . 빛과전자 / 069540 / 2004-02-13
880 . 빛샘전자 / 072950 / 2012-03-21
881 . 뿌리깊은나무들 / 266170 / 2017-06-09
882 . 사라콤 / 040020 / 2000-07-13
883 . 사람인에이치알 / 143240 / 2012-02-21
884 . 사이버다임 / 066690 / 2008-10-06
885 . 사이버패스 / 063280 / 2006-07-04
886 . 사이어스 / 052560 / 2001-07-10
887 . 사조씨푸드 / 014710 / 2012-06-29
888 . 사파이어테크놀로지 / 123260 / 2011-12-05
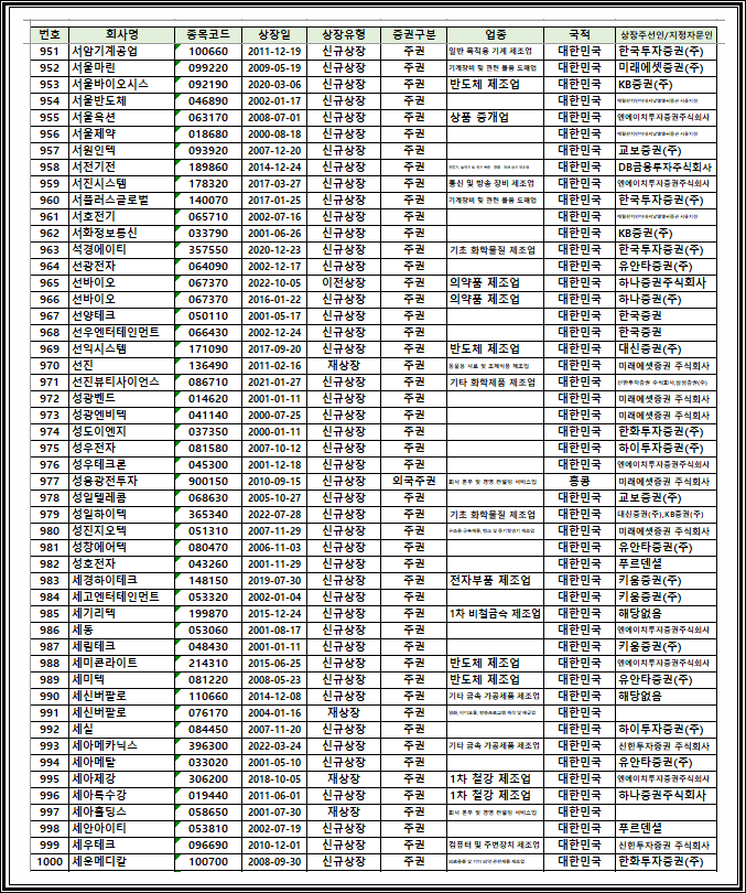
889 . 산돌 / 419120 / 2022-10-27
890 . 산성피앤씨 / 016100 / 2003-01-15
891 . 산양전기 / 079870 / 2005-07-15
892 . 삼강엠앤티 / 100090 / 2008-08-01
893 . 삼목강업 / 158380 / 2013-04-30
894 . 삼본정밀전자 / 111870 / 2010-11-05
895 . 삼성광전 / 046430 / 2002-05-23
896 . 삼성디지털이미징 / 108070 / 2009-03-10
897 . 삼성머스트스팩3호 / 309930 / 2018-12-20
898 . 삼성머스트스팩5호 / 380320 / 2021-06-17
899 . 삼성바이오로직스 / 207940 / 2016-11-10
900 . 삼성생명 / 032830 / 2010-05-12
901 . 삼성스팩2호 / 291230 / 2018-09-13
902 . 삼성스팩4호 / 377630 / 2021-05-21
903 . 삼성스팩6호 / 425290 / 2022-06-30
904 . 삼성스팩7호 / 439250 / 2022-10-26
905 . 삼성에스디에스 / 018260 / 2014-11-14
906 . 삼성출판사 / 068290 / 2002-08-05
907 . 삼성카드 / 029780 / 2007-06-27
908 . 삼아약품 / 009300 / 2000-07-19
909 . 삼양사 / 145990 / 2011-12-05
910 . 삼양옵틱스 / 225190 / 2017-06-02
911 . 삼양패키징 / 272550 / 2017-11-29
912 . 삼에스코리아 / 060310 / 2002-04-23
913 . 삼영에스앤씨 / 361670 / 2021-05-21
914 . 삼영엠텍 / 054540 / 2001-11-15
915 . 삼영열기 / 036530 / 2000-03-07
916 . 삼영이엔씨 / 065570 / 2003-01-21
917 . 삼원강재 / 023000 / 2011-07-22
918 . 삼원정밀금속 / 037760 / 2000-04-07
919 . 삼원테크 / 073640 / 2004-01-06
920 . 삼일인포마인 / 041310 / 2000-05-09
921 . 삼정펄프 / 009770 / 2006-10-17
922 . 삼진엘앤디 / 054090 / 2004-02-06
923 . 삼천당제약 / 000250 / 2000-10-04
924 . 삼테크 / 031330 / 2000-05-23
925 . 삼현철강 / 017480 / 2001-01-09
926 . 삼호개발 / 010960 / 2005-05-12
927 . 삼호개발 / 010960 / 2002-07-16
928 . 상보 / 027580 / 2007-10-01
929 . 상상인이안제2호스팩 / 329560 / 2019-08-30
930 . 상상인제3호스팩 / 415580 / 2022-04-29
931 . 상신브레이크 / 041650 / 2004-10-27
932 . 상신브레이크공업 / 041650 / 2001-11-15
933 . 상신이디피 / 091580 / 2007-05-23
934 . 상신전자 / 263810 / 2017-10-16
935 . 상아프론테크 / 089980 / 2011-07-21
936 . 상화마이크로텍 / 072530 / 2003-12-05
937 . 새로닉스 / 042600 / 2002-10-01
938 . 새론오토모티브 / 075180 / 2005-10-21
939 . 새빗켐 / 107600 / 2022-08-04
940 . 새한필 / 008030 / 2000-04-04
941 . 샘씨엔에스 / 252990 / 2021-05-20
942 . 샘코 / 263540 / 2017-09-15
943 . 샘표식품 / 248170 / 2016-08-09
944 . 샤인 / 065620 / 2002-06-27
945 . 샤인시스템 / 066300 / 2002-09-25
946 . 샤페론 / 378800 / 2022-10-19
947 . 서남 / 294630 / 2020-02-20
948 . 서두인칩 / 038530 / 2000-06-09
949 . 서린바이오사이언스 / 038070 / 2005-10-25
950 . 서산 / 079650 / 2005-01-21
951 . 서암기계공업 / 100660 / 2011-12-19
952 . 서울마린 / 099220 / 2009-05-19
953 . 서울바이오시스 / 092190 / 2020-03-06
954 . 서울반도체 / 046890 / 2002-01-17
955 . 서울옥션 / 063170 / 2008-07-01
956 . 서울제약 / 018680 / 2000-08-18
957 . 서원인텍 / 093920 / 2007-12-20
958 . 서전기전 / 189860 / 2014-12-24
959 . 서진시스템 / 178320 / 2017-03-27
960 . 서플러스글로벌 / 140070 / 2017-01-25
961 . 서호전기 / 065710 / 2002-07-16
962 . 서화정보통신 / 033790 / 2001-06-26
963 . 석경에이티 / 357550 / 2020-12-23
964 . 선광전자 / 064090 / 2002-12-17
965 . 선바이오 / 067370 / 2022-10-05
966 . 선바이오 / 067370 / 2016-01-22
967 . 선양테크 / 050110 / 2001-05-17
968 . 선우엔터테인먼트 / 066430 / 2002-12-24
969 . 선익시스템 / 171090 / 2017-09-20
970 . 선진 / 136490 / 2011-02-16
971 . 선진뷰티사이언스 / 086710 / 2021-01-27
972 . 성광벤드 / 014620 / 2001-01-11
973 . 성광엔비텍 / 041140 / 2000-07-25
974 . 성도이엔지 / 037350 / 2000-01-11
975 . 성우전자 / 081580 / 2007-10-12
976 . 성우테크론 / 045300 / 2001-12-18
977 . 성융광전투자 / 900150 / 2010-09-15
978 . 성일텔레콤 / 068630 / 2005-10-27
979 . 성일하이텍 / 365340 / 2022-07-28
980 . 성진지오텍 / 051310 / 2007-11-29
981 . 성창에어텍 / 080470 / 2006-11-03
982 . 성호전자 / 043260 / 2001-11-29
983 . 세경하이테크 / 148150 / 2019-07-30
984 . 세고엔터테인먼트 / 053320 / 2002-01-04
985 . 세기리텍 / 199870 / 2015-12-24
986 . 세동 / 053060 / 2001-08-17
987 . 세림테크 / 048430 / 2001-01-11
988 . 세미콘라이트 / 214310 / 2015-06-25
989 . 세미텍 / 081220 / 2008-05-23
990 . 세신버팔로 / 110660 / 2014-12-08
991 . 세신버팔로 / 076170 / 2004-01-16
992 . 세실 / 084450 / 2007-11-20
993 . 세아메카닉스 / 396300 / 2022-03-24
994 . 세아메탈 / 033020 / 2001-05-10
995 . 세아제강 / 306200 / 2018-10-05
996 . 세아특수강 / 019440 / 2011-06-01
997 . 세아홀딩스 / 058650 / 2001-07-30
998 . 세안아이티 / 053810 / 2002-07-19
999 . 세우테크 / 096690 / 2010-12-01
1000 . 세운메디칼 / 100700 / 2008-09-30
1001 . 세원 / 234100 / 2017-10-20
1002 . 세원 / 234100 / 2015-12-29
1003 . 세원셀론텍 / 091090 / 2006-07-31
1004 . 세이에이스혼합형펀드 / 052520 / 2001-03-12
1005 . 세이우량채권공모주안정형펀드 / 044240 / 2000-06-30
1006 . 세이우량채권플러스혼합형펀드 / 049990 / 2000-11-06
1007 . 세이우량채권플러스혼합형펀드이호 / 051070 / 2001-02-05
1008 . 세이우량채권혼합형펀드 / 045790 / 2000-07-24
1009 . 세이한가족성장형펀드 / 040380 / 2000-04-21
1010 . 세종공업 / 033530 / 2002-09-25
1011 . 세종머티리얼즈 / 135270 / 2014-12-17
1012 . 세종메디칼 / 258830 / 2018-05-29
1013 . 세진중공업 / 075580 / 2015-11-30
1014 . 세진티에스 / 067770 / 2004-01-09
1015 . 세키노스코리아 / 053450 / 2001-08-09
1016 . 세틀뱅크 / 234340 / 2019-07-12
1017 . 세호로보트 / 158310 / 2013-04-03
1018 . 세화아이엠씨 / 145210 / 2015-03-19
1019 . 세화피앤씨 / 085980 / 2013-09-25
1020 . 센코 / 347000 / 2020-10-29
1021 . 센트랄모텍 / 308170 / 2019-11-25
1022 . 셀레믹스 / 331920 / 2020-08-21
1023 . 셀리드 / 299660 / 2019-02-20
1024 . 셀리버리 / 268600 / 2018-11-09
1025 . 셀트리온 / 068270 / 2018-02-09
1026 . 셀트리온헬스케어 / 091990 / 2017-07-28
1027 . 소룩스 / 290690 / 2020-11-06
1028 . 소마젠 / 950200 / 2020-07-13
1029 . 소프트랜드 / 037320 / 2002-09-17
1030 . 소프트맥스 / 052190 / 2001-06-21
1031 . 소프트윈 / 049790 / 2001-02-13
1032 . 소프트캠프 / 210610 / 2014-12-18
1033 . 소프트텔레웨어 / 065440 / 2003-01-28
1034 . 소프트포럼 / 054920 / 2001-11-01
1035 . 손오공 / 066910 / 2005-01-07
1036 . 솔고바이오메디칼 / 043100 / 2000-08-08
1037 . 솔라시아 / 070300 / 2010-06-09
1038 . 솔루에타 / 154040 / 2013-12-27
1039 . 솔루엠 / 248070 / 2021-02-02
1040 . 솔브레인 / 357780 / 2020-08-06
1041 . 솔빛미디어 / 044440 / 2000-08-03
1042 . 솔빛텔레콤 / 053040 / 2001-08-09
1043 . 솔트룩스 / 304100 / 2020-07-23
1044 . 솔트웍스 / 222520 / 2015-07-08
1045 . 수산아이앤티 / 050960 / 2016-10-11
1046 . 수산인더스트리 / 126720 / 2022-08-01
1047 . 수성 / 084180 / 2005-12-16
1048 . 수젠텍 / 253840 / 2019-05-28
1049 . 수젠텍 / 253840 / 2016-11-11
1050 . 수프로 / 185190 / 2013-10-29
1051 . 쉘라인 / 093230 / 2007-11-01
1052 . 슈마일렉트론 / 056500 / 2002-06-04
1053 . 슈프리마 / 236200 / 2016-02-05
1054 . 슈프리마 / 094840 / 2008-07-11
1055 . 슈프리마아이디 / 317770 / 2019-08-01
1056 . 슈피겐코리아 / 192440 / 2014-11-05
1057 . 스코넥 / 276040 / 2022-02-04
1058 . 스타코넷 / 074610 / 2003-12-23
1059 . 스타플렉스 / 115570 / 2010-01-27
1060 . 스탠다드펌 / 179280 / 2013-07-01
1061 . 스템랩 / 258540 / 2016-11-29
1062 . 스톤브릿지벤처스 / 330730 / 2022-02-25
1063 . 스튜디오드래곤 / 253450 / 2017-11-24
1064 . 스틸플라워 / 087220 / 2009-10-27
1065 . 스페이스솔루션 / 245030 / 2016-06-03
1066 . 스펙트럼디브이디 / 040740 / 2004-01-28
1067 . 스포츠서울21 / 039670 / 2004-01-16
1068 . 승일제관 / 049830 / 2001-01-18
1069 . 승화엘엠씨 / 111610 / 2010-01-06
1070 . 시그네틱스 / 033170 / 2010-11-26
1071 . 시그넷이브이 / 260870 / 2017-08-30
1072 . 시그마컴 / 050600 / 2001-06-21
1073 . 시그마텔레콤 / 057330 / 2001-12-20
1074 . 시그엔 / 052970 / 2002-07-16
1075 . 시냅스엠 / 246830 / 2016-07-13
1076 . 시스네트 / 060250 / 2002-01-08
1077 . 시스웍 / 269620 / 2017-12-26
1078 . 시스윌 / 055970 / 2003-08-01
1079 . 시스컴 / 037280 / 2000-02-29
1080 . 시큐리티코리아 / 066330 / 2002-05-17
1081 . 시큐브 / 131090 / 2011-12-21
1082 . 시큐센 / 232830 / 2016-11-29
1083 . 시큐어소프트 / 037060 / 2001-08-14
1084 . 신도기연 / 290520 / 2020-07-06
1085 . 신동방 / 079660 / 2004-09-21
1086 . 신라젠 / 215600 / 2016-12-06
1087 . 신성ENG / 104110 / 2008-09-01
1088 . 신성FA / 104120 / 2008-09-01
1089 . 신성델타테크 / 065350 / 2004-08-06
1090 . 신세계I&C / 035510 / 2006-05-18
1091 . 신세계건설 / 034300 / 2002-06-17
1092 . 신세계아이앤씨 / 035510 / 2000-11-16
1093 . 신세계인터내셔날 / 031430 / 2011-07-14
1094 . 신세계푸드 / 031440 / 2010-04-29
1095 . 신세계푸드시스템 / 031440 / 2001-07-31
1096 . 신송홀딩스 / 006880 / 2013-11-21
1097 . 신신제약 / 002800 / 2017-02-28
1098 . 신양엔지니어링 / 086830 / 2006-12-27
1099 . 신영스팩1호 / 123750 / 2010-07-02
1100 . 신영스팩2호 / 225590 / 2015-10-05
1101 . 신영스팩3호 / 263770 / 2017-04-06
1102 . 신영스팩4호 / 307180 / 2018-12-21
1103 . 신영스팩5호 / 323280 / 2019-06-24
1104 . 신영스팩6호 / 344050 / 2020-02-12
1105 . 신영스팩7호 / 419270 / 2022-04-28
1106 . 신영스팩8호 / 430220 / 2022-08-26
1107 . 신영스팩9호 / 445970 / 2022-12-27
1108 . 신영텔레콤 / 054370 / 2001-11-20
1109 . 신지소프트 / 078700 / 2004-10-29
1110 . 신진에스엠 / 138070 / 2011-11-28
1111 . 신테카바이오 / 226330 / 2019-12-17
1112 . 신텍 / 099660 / 2009-04-30
1113 . 신한서부티엔디리츠 / 404990 / 2021-12-10
1114 . 신한스팩1호 / 122690 / 2010-05-25
1115 . 신한알파리츠 / 293940 / 2018-08-08
1116 . 신한에스아이티 / 054530 / 2001-08-28
1117 . 신한제10호스팩 / 418210 / 2022-07-29
1118 . 신한제2호SPAC / 203650 / 2014-10-13
1119 . 신한제3호스팩 / 257730 / 2017-02-23
1120 . 신한제4호스팩 / 277480 / 2017-10-20
1121 . 신한제5호스팩 / 323230 / 2019-06-19
1122 . 신한제6호스팩 / 333050 / 2019-10-31
1123 . 신한제7호스팩 / 366330 / 2021-02-04
1124 . 신한제8호스팩 / 393360 / 2021-09-27
1125 . 신한제9호스팩 / 405640 / 2022-04-27
1126 . 신한지주 / 055550 / 2001-09-10
1127 . 신화인터텍 / 056700 / 2001-12-13
1128 . 신화정보시스템 / 054650 / 2002-01-10
1129 . 신화콘텍 / 187270 / 2014-08-08
1130 . 신흥기계 / 007820 / 2011-11-08
1131 . 신흥에스이씨 / 243840 / 2017-09-27
1132 . 실리샌드 / 067850 / 2005-10-05
1133 . 실리콘웍스 / 108320 / 2010-06-08
1134 . 실리콘테크 / 047600 / 2001-01-11
1135 . 실리콘투 / 257720 / 2021-09-29
1136 . 실리콘화일 / 082930 / 2008-04-25
1137 . 심스밸리 / 042470 / 2000-07-19
1138 . 심텍 / 222800 / 2015-08-07
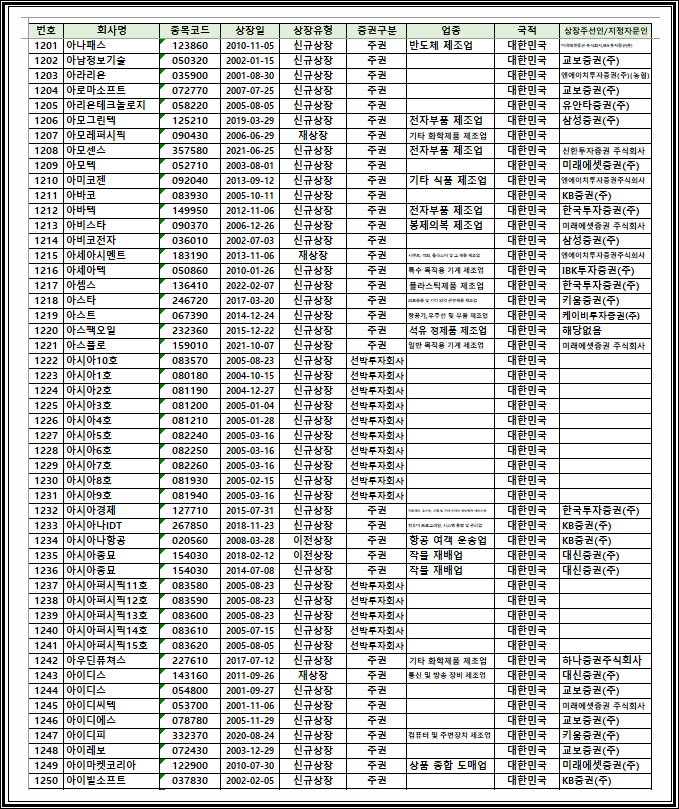
1139 . 싸이맥스 / 160980 / 2015-06-17
1140 . 싸이버원 / 356890 / 2021-03-11
1141 . 싸이토젠 / 217330 / 2018-11-22
1142 . 쌈지 / 033260 / 2001-02-01
1143 . 쌍용머티리얼 / 047400 / 2009-09-29
1144 . 쌍용정보통신 / 010280 / 2000-04-14
1145 . 썬코리아전자 / 060670 / 2003-06-17
1146 . 썬테크 / 217320 / 2015-04-29
1147 . 썬텍인포메이션시스템 / 053050 / 2001-10-11
1148 . 썸텍 / 056020 / 2003-07-04
1149 . 쎄라텍 / 041550 / 2000-07-11
1150 . 쎄미시스코 / 136510 / 2011-11-18
1151 . 쎄믹스 / 096630 / 2007-12-26
1152 . 쎄트렉아이 / 099320 / 2008-06-13
1153 . 쎌바이오텍 / 049960 / 2002-12-13
1154 . 쏘카 / 403550 / 2022-08-22
1155 . 쏠리테크 / 050890 / 2005-07-08
1156 . 쓰리소프트 / 036360 / 2001-01-18
1157 . 쓰리쎄븐 / 067290 / 2003-02-11
1158 . 쓰리알 / 037730 / 2000-07-25
1159 . 쓰리피시스템 / 110500 / 2011-06-17
1160 . 씨.씨.에스 / 066790 / 2003-05-30
1161 . 씨그널정보통신 / 099830 / 2011-01-24
1162 . 씨디네트웍스 / 073710 / 2005-07-29
1163 . 씨디아이홀딩스 / 096240 / 2008-06-27
1164 . 씨모텍 / 081090 / 2007-11-14
1165 . 씨아이에스 / 144630 / 2014-04-25
1166 . 씨알푸드 / 236030 / 2017-12-14
1167 . 씨앗 / 103660 / 2015-06-22
1168 . 씨앤드에스마이크로웨이브 / 065770 / 2004-06-04
1169 . 씨앤비텍 / 086200 / 2006-06-07
1170 . 씨앤씨인터내셔널 / 352480 / 2021-05-17
1171 . 씨앤에스링크 / 245450 / 2016-06-24
1172 . 씨앤에스테크놀로지 / 038880 / 2000-04-27
1173 . 씨앤지하이테크 / 264660 / 2018-01-25
1174 . 씨앤투스성진 / 352700 / 2021-01-28
1175 . 씨에스베어링 / 297090 / 2019-11-21
1176 . 씨에스윈드 / 112610 / 2014-11-27
1177 . 씨엔씨엔터프라이즈 / 038420 / 2000-08-08
1178 . 씨엔티드림 / 286000 / 2020-12-11
1179 . 씨엔플러스 / 115530 / 2011-11-02
1180 . 씨엠에스 / 050470 / 2002-04-23
1181 . 씨엠에스에듀 / 225330 / 2016-04-07
1182 . 씨오텍 / 054180 / 2001-10-16
1183 . 씨유메디칼 / 115480 / 2011-12-15
1184 . 씨유테크 / 376290 / 2021-10-08
1185 . 씨이랩 / 189330 / 2021-02-24
1186 . 씨이랩 / 189330 / 2013-12-24
1187 . 씨제이엔터테인먼트 / 049370 / 2002-02-05
1188 . 씨제이푸드시스템 / 051500 / 2001-07-26
1189 . 씨제이프론티어전환형펀드 / 039720 / 2000-04-21
1190 . 씨제이헬로비전 / 037560 / 2012-11-09
1191 . 씨젠 / 096530 / 2010-09-10
1192 . 씨케이컴퍼니 / 235090 / 2016-03-16
1193 . 씨큐브 / 101240 / 2011-11-08
1194 . 씨큐어테크 / 052640 / 2001-07-31
1195 . 씨트리 / 047920 / 2015-12-21
1196 . 씨티네트웍스 / 189540 / 2013-12-24
1197 . 씨티씨바이오 / 060590 / 2002-02-21
1198 . 씨티케이코스메틱스 / 260930 / 2017-12-07
1199 . 아가방 / 013990 / 2002-01-17
1200 . 아구스 / 078670 / 2007-07-27
1201 . 아나패스 / 123860 / 2010-11-05
1202 . 아남정보기술 / 050320 / 2002-01-15
1203 . 아라리온 / 035900 / 2001-08-30
1204 . 아로마소프트 / 072770 / 2007-07-25
1205 . 아리온테크놀로지 / 058220 / 2005-08-05
1206 . 아모그린텍 / 125210 / 2019-03-29
1207 . 아모레퍼시픽 / 090430 / 2006-06-29
1208 . 아모센스 / 357580 / 2021-06-25
1209 . 아모텍 / 052710 / 2003-08-01
1210 . 아미코젠 / 092040 / 2013-09-12
1211 . 아바코 / 083930 / 2005-10-11
1212 . 아바텍 / 149950 / 2012-11-06
1213 . 아비스타 / 090370 / 2006-12-26
1214 . 아비코전자 / 036010 / 2002-07-03
1215 . 아세아시멘트 / 183190 / 2013-11-06
1216 . 아세아텍 / 050860 / 2010-01-26
1217 . 아셈스 / 136410 / 2022-02-07
1218 . 아스타 / 246720 / 2017-03-20
1219 . 아스트 / 067390 / 2014-12-24
1220 . 아스팩오일 / 232360 / 2015-12-22
1221 . 아스플로 / 159010 / 2021-10-07
1222 . 아시아10호 / 083570 / 2005-08-23
1223 . 아시아1호 / 080180 / 2004-10-15
1224 . 아시아2호 / 081190 / 2004-12-27
1225 . 아시아3호 / 081200 / 2005-01-04
1226 . 아시아4호 / 081210 / 2005-01-28
1227 . 아시아5호 / 082240 / 2005-03-16
1228 . 아시아6호 / 082250 / 2005-03-16
1229 . 아시아7호 / 082260 / 2005-03-16
1230 . 아시아8호 / 081930 / 2005-02-15
1231 . 아시아9호 / 081940 / 2005-03-16
1232 . 아시아경제 / 127710 / 2015-07-31
1233 . 아시아나IDT / 267850 / 2018-11-23
1234 . 아시아나항공 / 020560 / 2008-03-28
1235 . 아시아종묘 / 154030 / 2018-02-12
1236 . 아시아종묘 / 154030 / 2014-07-08
1237 . 아시아퍼시픽11호 / 083580 / 2005-08-23
1238 . 아시아퍼시픽12호 / 083590 / 2005-08-23
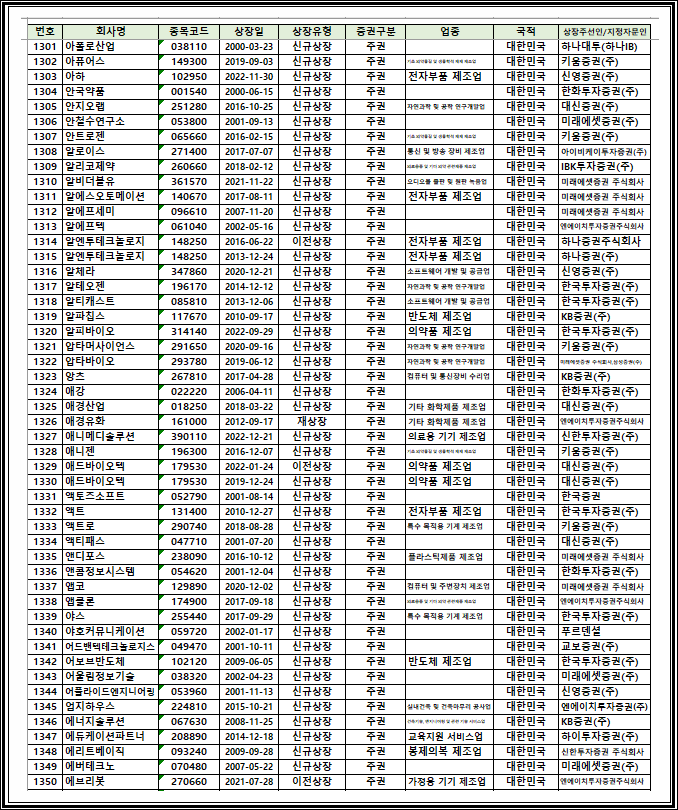
1239 . 아시아퍼시픽13호 / 083600 / 2005-08-23
1240 . 아시아퍼시픽14호 / 083610 / 2005-07-15
1241 . 아시아퍼시픽15호 / 083620 / 2005-08-05
1242 . 아우딘퓨쳐스 / 227610 / 2017-07-12
1243 . 아이디스 / 143160 / 2011-09-26
1244 . 아이디스 / 054800 / 2001-09-27
1245 . 아이디씨텍 / 053700 / 2001-11-06
1246 . 아이디에스 / 078780 / 2005-11-29
1247 . 아이디피 / 332370 / 2020-08-24
1248 . 아이레보 / 072430 / 2003-12-29
1249 . 아이마켓코리아 / 122900 / 2010-07-30
1250 . 아이빌소프트 / 037830 / 2002-02-05
1251 . 아이센스 / 099190 / 2013-01-30
1252 . 아이스크림에듀 / 289010 / 2019-07-11
1253 . 아이쓰리시스템 / 214430 / 2015-07-30
1254 . 아이씨디 / 040910 / 2011-08-05
1255 . 아이씨에이치 / 368600 / 2022-07-29
1256 . 아이씨엠 / 038710 / 2002-02-19
1257 . 아이씨코리아 / 068940 / 2010-10-19
1258 . 아이씨코퍼레이션 / 080570 / 2005-01-19
1259 . 아이앤씨 / 052860 / 2009-10-06
1260 . 아이에스시테크놀러지 / 095340 / 2007-10-01
1261 . 아이에스하이텍 / 060910 / 2002-12-13
1262 . 아이엔지생명 / 079440 / 2017-05-11
1263 . 아이엘사이언스 / 122050 / 2018-11-16
1264 . 아이엠 / 101390 / 2008-07-23
1265 . 아이엠아이티 / 038100 / 2000-01-13
1266 . 아이엠알아이 / 039000 / 2002-01-31
1267 . 아이엠텍 / 226350 / 2016-02-03
1268 . 아이오바이오 / 447690 / 2022-12-28
1269 . 아이원스 / 114810 / 2013-02-07
1270 . 아이젠텍 / 038870 / 2001-05-29
1271 . 아이진 / 185490 / 2015-11-16
1272 . 아이진 / 185490 / 2013-11-28
1273 . 아이컴포넌트 / 059100 / 2008-12-16
1274 . 아이케이세미콘 / 149010 / 2014-11-14
1275 . 아이콘트롤스 / 039570 / 2015-09-24
1276 . 아이콜스 / 065810 / 2003-02-12
1277 . 아이퀘스트 / 262840 / 2021-02-05
1278 . 아이큐어 / 175250 / 2018-07-12
1279 . 아이크래프트 / 052460 / 2005-01-03
1280 . 아이테스트 / 089530 / 2011-11-11
1281 . 아이텍반도체 / 119830 / 2010-10-26
1282 . 아이티 / 052300 / 2001-08-02
1283 . 아이티센 / 124500 / 2014-12-23
1284 . 아이티센네트웍스 / 057110 / 2002-01-10
1285 . 아이티센시스템즈 / 124500 / 2013-07-01
1286 . 아이티아이즈 / 372800 / 2021-11-11
1287 . 아이티엠반도체 / 084850 / 2019-11-07
1288 . 아이티플러스 / 046940 / 2002-06-18
1289 . 아이패밀리에스씨 / 114840 / 2021-10-28
1290 . 아이피에스 / 051820 / 2005-11-11
1291 . 아주IB투자 / 027360 / 2018-11-21
1292 . 아주스틸 / 139990 / 2021-08-20
1293 . 아즈텍더블유비이 / 032080 / 2000-10-26
1294 . 아진산업 / 013310 / 2015-12-22
1295 . 아진엑스텍 / 059120 / 2014-07-24
1296 . 아진엑스텍 / 059120 / 2013-07-01
1297 . 아진종합식품 / 071930 / 2004-01-16
1298 . 아쿠아테크 / 065180 / 2002-06-18
1299 . 아톤 / 158430 / 2019-10-17
1300 . 아티스 / 101140 / 2008-04-02
1301 . 아폴로산업 / 038110 / 2000-03-23
1302 . 아퓨어스 / 149300 / 2019-09-03
1303 . 아하 / 102950 / 2022-11-30
1304 . 안국약품 / 001540 / 2000-06-15
1305 . 안지오랩 / 251280 / 2016-10-25
1306 . 안철수연구소 / 053800 / 2001-09-13
1307 . 안트로젠 / 065660 / 2016-02-15
1308 . 알로이스 / 271400 / 2017-07-07
1309 . 알리코제약 / 260660 / 2018-02-12
1310 . 알비더블유 / 361570 / 2021-11-22
1311 . 알에스오토메이션 / 140670 / 2017-08-11
1312 . 알에프세미 / 096610 / 2007-11-20
1313 . 알에프텍 / 061040 / 2002-05-16
1314 . 알엔투테크놀로지 / 148250 / 2016-06-22
1315 . 알엔투테크놀로지 / 148250 / 2013-12-24
1316 . 알체라 / 347860 / 2020-12-21
1317 . 알테오젠 / 196170 / 2014-12-12
1318 . 알티캐스트 / 085810 / 2013-12-06
1319 . 알파칩스 / 117670 / 2010-09-17
1320 . 알피바이오 / 314140 / 2022-09-29
1321 . 압타머사이언스 / 291650 / 2020-09-16
1322 . 압타바이오 / 293780 / 2019-06-12
1323 . 앙츠 / 267810 / 2017-04-28
1324 . 애강 / 022220 / 2006-04-11
1325 . 애경산업 / 018250 / 2018-03-22
1326 . 애경유화 / 161000 / 2012-09-17
1327 . 애니메디솔루션 / 390110 / 2022-12-21
1328 . 애니젠 / 196300 / 2016-12-07
1329 . 애드바이오텍 / 179530 / 2022-01-24
1330 . 애드바이오텍 / 179530 / 2019-12-24
1331 . 액토즈소프트 / 052790 / 2001-08-14
1332 . 액트 / 131400 / 2010-12-27
1333 . 액트로 / 290740 / 2018-08-28
1334 . 액티패스 / 047710 / 2001-07-20
1335 . 앤디포스 / 238090 / 2016-10-12
1336 . 앤콤정보시스템 / 054620 / 2001-12-04
1337 . 앱코 / 129890 / 2020-12-02
1338 . 앱클론 / 174900 / 2017-09-18
1339 . 야스 / 255440 / 2017-09-29
1340 . 야호커뮤니케이션 / 059720 / 2002-01-17
1341 . 어드밴텍테크놀로지스 / 049470 / 2001-10-11
1342 . 어보브반도체 / 102120 / 2009-06-05
1343 . 어울림정보기술 / 038320 / 2002-04-23
1344 . 어플라이드엔지니어링 / 053960 / 2001-11-13
1345 . 엄지하우스 / 224810 / 2015-10-21
1346 . 에너지솔루션 / 067630 / 2008-11-25
1347 . 에듀케이션파트너 / 208890 / 2014-12-18
1348 . 에리트베이직 / 093240 / 2009-09-28
1349 . 에버테크노 / 070480 / 2007-05-22
1350 . 에브리봇 / 270660 / 2021-07-28
1351 . 에브리봇 / 270660 / 2017-07-24
1352 . 에스.엠.엔터테인먼트 / 041510 / 2000-04-27
1353 . 에스넷시스템 / 038680 / 2000-04-27
1354 . 에스디 / 066930 / 2003-01-24
1355 . 에스디바이오센서 / 137310 / 2021-07-16
1356 . 에스디생명공학 / 217480 / 2017-03-02
1357 . 에스디시스템 / 121890 / 2010-07-16
1358 . 에스맥 / 097780 / 2008-01-23
1359 . 에스비비테크 / 389500 / 2022-10-17
1360 . 에스비아이앤솔로몬스팩 / 123910 / 2010-08-24
1361 . 에스비에스아이 / 046140 / 2003-02-05
1362 . 에스씨디 / 042110 / 2000-07-13
1363 . 에스씨엠생명과학 / 298060 / 2020-06-17
1364 . 에스아이테크 / 052880 / 2001-07-24
1365 . 에스알바이오텍 / 270210 / 2017-06-15
1366 . 에스앤더블류 / 103230 / 2009-08-05
1367 . 에스앤디 / 260970 / 2021-09-29
1368 . 에스앤디 / 260970 / 2016-12-29
1369 . 에스앤에스텍 / 101490 / 2009-04-14
1370 . 에스에너지 / 095910 / 2007-10-16
1371 . 에스에스씨피 / 071660 / 2005-10-18
1372 . 에스에스알 / 275630 / 2018-08-06
1373 . 에스에이치텍 / 088810 / 2006-04-17
1374 . 에스에이티 / 060540 / 2006-11-28
1375 . 에스에이티이엔지 / 158300 / 2013-07-01
1376 . 에스에프씨 / 112240 / 2011-11-30
1377 . 에스에프에이 / 056190 / 2001-12-18
1378 . 에스엔유프리시젼 / 080000 / 2005-01-25
1379 . 에스엔케이폴리텍 / 091340 / 2007-07-30
1380 . 에스엔텍 / 160600 / 2015-06-26
1381 . 에스엔티 / 057500 / 2001-12-26
1382 . 에스엔피 / 086460 / 2013-07-01
1383 . 에스엔피월드 / 263920 / 2017-09-28
1384 . 에스엘에스 / 246250 / 2016-06-29
1385 . 에스엠로보틱스 / 252940 / 2016-09-30
1386 . 에스엠비나 / 299670 / 2018-06-25
1387 . 에스와이이노베이션 / 194860 / 2014-04-25
1388 . 에스와이제이 / 251540 / 2017-05-02
1389 . 에스와이패널 / 109610 / 2015-12-29
1390 . 에스이티아이 / 114570 / 2010-02-04
1391 . 에스제이그룹 / 306040 / 2019-11-18
1392 . 에스제이엠 / 123700 / 2010-05-31
1393 . 에스제이윈텍 / 061050 / 2003-01-06
1394 . 에스제이켐 / 217910 / 2018-04-27
1395 . 에스케이디앤디 / 210980 / 2015-06-23
1396 . 에스케이바이오팜 / 326030 / 2020-07-02
1397 . 에스케이씨에스 / 224020 / 2016-07-25
1398 . 에스케이증권7호스팩 / 408920 / 2022-03-07
1399 . 에스켐 / 052020 / 2001-07-05
1400 . 에스텍 / 069510 / 2003-11-14
1401 . 에스텍파마 / 041910 / 2004-02-06
1402 . 에스트래픽 / 234300 / 2017-12-05
1403 . 에스티아이 / 039440 / 2002-02-28
1404 . 에스티에스반도체통신 / 036540 / 2001-05-02
1405 . 에스티오 / 098660 / 2009-04-17
1406 . 에스티팜 / 237690 / 2016-06-23
1407 . 에스퓨얼셀 / 288620 / 2018-10-15
1408 . 에스피시스템스 / 317830 / 2019-08-14
1409 . 에스피지 / 058610 / 2002-07-23
1410 . 에스피컴텍 / 039110 / 2001-08-28
1411 . 에쎈테크 / 043340 / 2000-08-29
1412 . 에쎌텍 / 066700 / 2004-05-27
1413 . 에어로텔레콤 / 058550 / 2002-05-07
1414 . 에어부산 / 298690 / 2018-12-27
1415 . 에이.에스.이 / 058370 / 2002-02-19
1416 . 에이디엠코리아 / 187660 / 2021-06-03
1417 . 에이디칩스 / 054630 / 2001-11-13
1418 . 에이디테크놀로지 / 200710 / 2014-12-16
1419 . 에이디피엔지니어링 / 079950 / 2005-02-04
1420 . 에이로직스 / 074430 / 2004-06-04
1421 . 에이블씨엔씨 / 078520 / 2011-09-07
1422 . 에이블씨엔씨 / 078520 / 2005-02-04
1423 . 에이비엘바이오 / 298380 / 2018-12-19
1424 . 에이비온 / 203400 / 2021-09-08
1425 . 에이비온 / 203400 / 2014-07-21
1426 . 에이스디지텍 / 036550 / 2003-01-07
1427 . 에이스안테나 / 088800 / 2006-03-27
1428 . 에이스일렉트로닉스 / 038690 / 2000-06-29
1429 . 에이스캠퍼 / 322190 / 2020-12-29
1430 . 에이스토리 / 241840 / 2019-07-19
1431 . 에이씨티 / 138360 / 2013-11-08
1432 . 에이아이더뉴트리진 / 311960 / 2022-11-29
1433 . 에이에프더블류 / 312610 / 2019-07-01
1434 . 에이엠에스 / 044770 / 2000-06-29
1435 . 에이원알폼 / 234070 / 2015-12-21
1436 . 에이치디시에스 / 105070 / 2010-02-02
1437 . 에이치시티 / 072990 / 2016-10-17
1438 . 에이치앤티 / 088960 / 2006-06-30
1439 . 에이치엔에스하이텍 / 044990 / 2015-12-10
1440 . 에이치엔티 / 176440 / 2016-11-28
1441 . 에이치엘사이언스 / 239610 / 2016-10-28
1442 . 에이치엠씨3호스팩 / 226340 / 2015-11-05
1443 . 에이치엠씨제1호스팩 / 126640 / 2010-08-31
1444 . 에이치엠씨제4호스팩 / 353070 / 2020-07-29
1445 . 에이치엠씨제5호스팩 / 353060 / 2020-12-16
1446 . 에이치와이티씨 / 148930 / 2022-08-09
1447 . 에이치피오 / 357230 / 2021-05-14
1448 . 에이테크솔루션 / 071670 / 2009-04-17
1449 . 에이텍시스템 / 045660 / 2001-05-24
1450 . 에이텍티앤 / 224110 / 2015-08-25
1451 . 에이티젠 / 182400 / 2015-10-23
1452 . 에이펙스인텍 / 207490 / 2018-11-28
1453 . 에이프로 / 262260 / 2020-07-16
1454 . 에이프릴바이오 / 397030 / 2022-07-28
1455 . 에이플러스에셋 / 244920 / 2020-11-20
1456 . 에이피티씨 / 089970 / 2018-08-23
1457 . 에치디프로 / 214870 / 2015-10-13
1458 . 에코마이스터 / 064510 / 2018-03-15
1459 . 에코마케팅 / 230360 / 2016-08-08
1460 . 에코솔루션 / 052510 / 2001-12-18
1461 . 에코캡 / 128540 / 2018-12-05
1462 . 에코프로 / 086520 / 2007-07-20
1463 . 에코프로비엠 / 247540 / 2019-03-05
1464 . 에코프로에이치엔 / 383310 / 2021-05-28
1465 . 에프알텍 / 073540 / 2007-05-18
1466 . 에프앤가이드 / 064850 / 2020-12-17
1467 . 에프앤가이드 / 064850 / 2013-07-01
1468 . 에프에스텍 / 053440 / 2001-08-21
1469 . 에프엔씨 / 173940 / 2014-12-04
1470 . 에프엔에스테크 / 083500 / 2017-02-27
1471 . 에프엠에스 / 278990 / 2017-10-31
1472 . 엑세스바이오 / 950130 / 2013-05-30
1473 . 엑스씨이 / 081500 / 2006-07-21
1474 . 엑시콘 / 092870 / 2015-10-22
1475 . 엑시콘 / 092870 / 2014-12-24
1476 . 엑큐리스 / 048460 / 2000-12-14
1477 . 엔바이오니아 / 317870 / 2019-10-24
1478 . 엔바이오테크놀러지 / 047940 / 2001-06-21
1479 . 엔브이에이치코리아 / 067570 / 2013-12-03
1480 . 엔비티 / 236810 / 2021-01-21
1481 . 엔솔바이오 / 140610 / 2018-09-10
1482 . 엔시스 / 333620 / 2021-04-01
1483 . 엔써커뮤니티 / 037750 / 2000-11-09
1484 . 엔씨소프트 / 036570 / 2003-05-22
1485 . 엔씨소프트 / 036570 / 2000-07-11
1486 . 엔에스 / 217820 / 2015-12-07
1487 . 엔에스브이 / 095300 / 2009-04-17
1488 . 엔에스쇼핑 / 138250 / 2015-03-27
1489 . 엔에스아이 / 053250 / 2001-07-20
1490 . 엔에스엠 / 238170 / 2019-12-26
1491 . 엔에스컴퍼니 / 224760 / 2015-07-31
1492 . 엔에이씨정보시스템 / 053980 / 2002-04-09
1493 . 엔에이치스팩10호 / 256630 / 2017-05-02
1494 . 엔에이치스팩11호 / 256840 / 2016-12-28
1495 . 엔에이치스팩12호 / 273060 / 2017-08-07
1496 . 엔에이치스팩13호 / 310840 / 2018-12-24
1497 . 엔에이치스팩14호 / 319400 / 2019-05-08
1498 . 엔에이치스팩15 / 339950 / 2019-12-24
1499 . 엔에이치스팩16호 / 353190 / 2020-06-17
1500 . 엔에이치스팩17호 / 359090 / 2020-09-23
1501 . 엔에이치스팩18호 / 365590 / 2020-12-21
1502 . 엔에이치스팩19호 / 380440 / 2021-05-21
1503 . 엔에이치스팩20호 / 391060 / 2021-10-05
1504 . 엔에이치스팩21호 / 391710 / 2021-10-15
1505 . 엔에이치스팩22호 / 396770 / 2021-12-24
1506 . 엔에이치스팩23호 / 422040 / 2022-06-28
1507 . 엔에이치스팩24호 / 437780 / 2022-10-20
1508 . 엔에이치스팩25호 / 438580 / 2022-11-03
1509 . 엔에이치스팩26호 / 439410 / 2022-12-01
1510 . 엔에이치스팩27호 / 440820 / 2022-12-16
1511 . 엔에이치스팩2호 / 206640 / 2014-12-29
1512 . 엔에이치스팩7호 / 217810 / 2015-06-12
1513 . 엔에이치스팩8호 / 218410 / 2015-06-30
1514 . 엔에이치스팩9호 / 225570 / 2015-09-25
1515 . 엔에이치스펙5호 / 215790 / 2015-05-08
1516 . 엔에이치엔 / 035420 / 2002-10-29
1517 . 엔에프씨 / 265740 / 2020-12-02
1518 . 엔젠바이오 / 354200 / 2020-12-10
1519 . 엔젯 / 419080 / 2022-11-18
1520 . 엔지브이아이 / 093510 / 2019-09-30
1521 . 엔지스테크널러지 / 208860 / 2016-07-28
1522 . 엔지켐 / 183490 / 2013-09-25
1523 . 엔지켐생명과학 / 183490 / 2018-02-21
1524 . 엔케이 / 085310 / 2008-01-24
1525 . 엔케이맥스 / 262760 / 2018-08-09
1526 . 엔켐 / 348370 / 2021-11-01
1527 . 엔터기술 / 068420 / 2003-07-01
1528 . 엔텔스 / 069410 / 2007-06-20
1529 . 엔트로피 / 085990 / 2006-05-23
1530 . 엔피디 / 198080 / 2020-03-16
1531 . 엔피케이 / 048830 / 2000-10-12
1532 . 엔하이테크 / 046720 / 2002-10-10
1533 . 엘.씨텍 / 038060 / 2006-08-08
1534 . 엘디티 / 096870 / 2008-05-02
1535 . 엘리비젼 / 276240 / 2018-07-05
1536 . 엘리코파워 / 045290 / 2004-01-06
1537 . 엘비루셈 / 376190 / 2021-06-11
1538 . 엘비세미콘 / 061970 / 2011-01-31
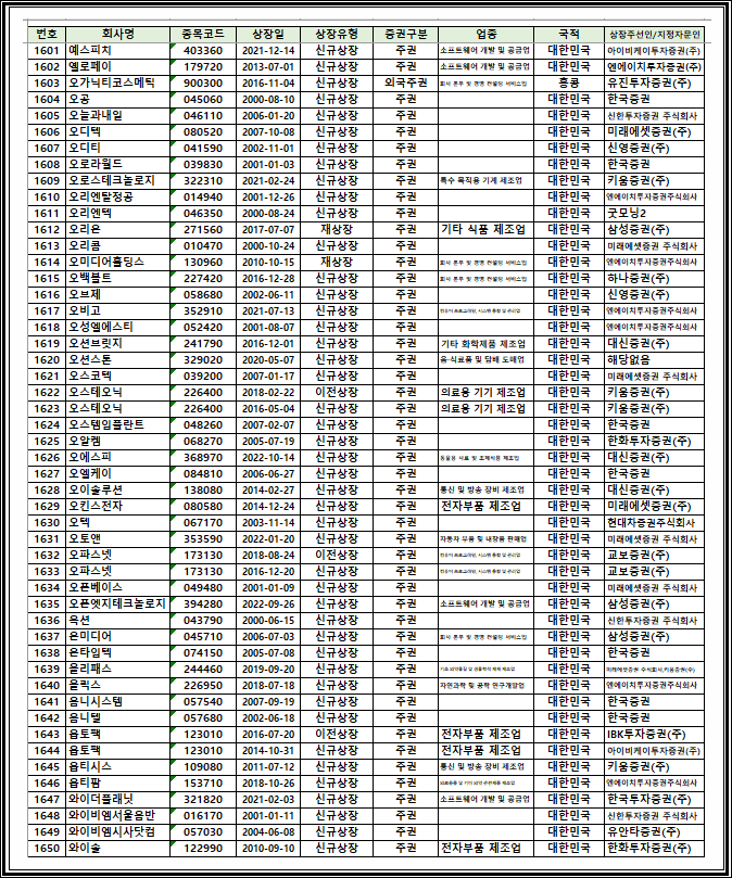
1539 . 엘스트로 / 150440 / 2014-12-05
1540 . 엘아이지스팩 2호 / 208140 / 2014-12-17
1541 . 엘아이지이에스스팩 / 220260 / 2015-07-27
1542 . 엘앤씨바이오 / 290650 / 2018-11-01
1543 . 엘앤에프 / 066970 / 2003-01-02
1544 . 엘앤케이바이오 / 156100 / 2016-11-30
1545 . 엘앤케이바이오 / 156100 / 2013-07-01
1546 . 엘에스전선 아시아 / 229640 / 2016-09-22
1547 . 엘에이티 / 311060 / 2018-12-28
1548 . 엘오티베큠 / 083310 / 2005-10-05
1549 . 엘이티 / 297890 / 2020-06-22
1550 . 엘지.필립스 엘시디 / 034220 / 2004-07-23
1551 . 엘지에스 / 073110 / 2007-10-12
1552 . 엘지이노텍 / 011070 / 2008-07-24
1553 . 엘지텔레콤 / 032640 / 2000-09-21
1554 . 엘지패션 / 093050 / 2006-12-01
1555 . 엘지홈쇼핑 / 028150 / 2000-01-20
1556 . 엘케이에프에스 / 047420 / 2002-07-19
1557 . 엘티씨 / 170920 / 2013-10-08
1558 . 엘티에스 / 138690 / 2011-06-02
1559 . 엘피케이 / 183350 / 2013-10-11
1560 . 엠.피.씨 / 050540 / 2005-12-12
1561 . 엠게임 / 058630 / 2008-12-19
1562 . 엠로 / 058970 / 2021-08-13
1563 . 엠로 / 058970 / 2016-04-28
1564 . 엠비즈네트웍스글로벌 / 068760 / 2006-02-03
1565 . 엠씨넥스 / 097520 / 2021-07-06
1566 . 엠씨넥스 / 097520 / 2012-07-25
1567 . 엠씨에스로직 / 068150 / 2003-07-21
1568 . 엠아이자카텍 / 065420 / 2002-08-22
1569 . 엠아이텍 / 179290 / 2018-11-29
1570 . 엠앤씨생명과학 / 225860 / 2017-04-25
1571 . 엠에스오토텍 / 123040 / 2010-08-06
1572 . 엠에이티 / 080440 / 2005-05-13
1573 . 엠에프엠코리아 / 251960 / 2016-09-08
1574 . 엠지메드 / 180400 / 2015-11-20
1575 . 엠지메드 / 180400 / 2014-12-15
1576 . 엠케이트렌드 / 069640 / 2011-06-21
1577 . 엠코르셋 / 204020 / 2018-07-23
1578 . 엠텍비젼 / 074000 / 2004-01-06
1579 . 엠투아이 / 347890 / 2020-07-29
1580 . 엠플러스 / 259630 / 2017-09-20
1581 . 연우 / 115960 / 2015-11-02
1582 . 연이정보통신 / 090740 / 2007-09-19
1583 . 연합과기 / 900030 / 2008-12-04
1584 . 영림원소프트랩 / 060850 / 2020-08-12
1585 . 영백씨엠 / 193250 / 2014-12-29
1586 . 영우디에스피 / 143540 / 2014-10-29
1587 . 영우통신 / 051390 / 2001-11-15
1588 . 영원무역 / 111770 / 2009-07-30
1589 . 영진닷컴 / 053890 / 2002-05-07
1590 . 영창케미칼 / 112290 / 2022-07-14
1591 . 영현무역 / 242850 / 2016-05-20
1592 . 영화직물 / 036600 / 2000-01-11
1593 . 영화테크 / 265560 / 2017-10-26
1594 . 영흥철강 / 012160 / 2010-01-25
1595 . 예당엔터테인먼트 / 049000 / 2001-01-03
1596 . 예스이십사 / 053280 / 2008-05-07
1597 . 예스컴 / 066200 / 2003-06-11
1598 . 예스테크놀로지 / 046840 / 2001-07-10 1
599 . 예스티 / 122640 / 2015-12-16
1600 . 예스티 / 122640 / 2014-12-29
1601 . 예스피치 / 403360 / 2021-12-14
1602 . 옐로페이 / 179720 / 2013-07-01
1603 . 오가닉티코스메틱 / 900300 / 2016-11-04
1604 . 오공 / 045060 / 2000-08-10
1605 . 오늘과내일 / 046110 / 2006-01-20
1606 . 오디텍 / 080520 / 2007-10-08
1607 . 오디티 / 041590 / 2002-11-01
1608 . 오로라월드 / 039830 / 2001-01-03
1609 . 오로스테크놀로지 / 322310 / 2021-02-24
1610 . 오리엔탈정공 / 014940 / 2001-12-26
1611 . 오리엔텍 / 046350 / 2000-08-24
1612 . 오리온 / 271560 / 2017-07-07
1613 . 오리콤 / 010470 / 2000-10-24
1614 . 오미디어홀딩스 / 130960 / 2010-10-15
1615 . 오백볼트 / 227420 / 2016-12-28
1616 . 오브제 / 058680 / 2002-06-11
1617 . 오비고 / 352910 / 2021-07-13
1618 . 오성엘에스티 / 052420 / 2001-08-07
1619 . 오션브릿지 / 241790 / 2016-12-01
1620 . 오션스톤 / 329020 / 2020-05-07
1621 . 오스코텍 / 039200 / 2007-01-17
1622 . 오스테오닉 / 226400 / 2018-02-22
1623 . 오스테오닉 / 226400 / 2016-05-04
1624 . 오스템임플란트 / 048260 / 2007-02-07
1625 . 오알켐 / 068270 / 2005-07-19
1626 . 오에스피 / 368970 / 2022-10-14
1627 . 오엘케이 / 084810 / 2006-06-27
1628 . 오이솔루션 / 138080 / 2014-02-27
1629 . 오킨스전자 / 080580 / 2014-12-24
1630 . 오텍 / 067170 / 2003-11-14
1631 . 오토앤 / 353590 / 2022-01-20
1632 . 오파스넷 / 173130 / 2018-08-24
1633 . 오파스넷 / 173130 / 2016-12-20
1634 . 오픈베이스 / 049480 / 2001-01-09
1635 . 오픈엣지테크놀로지 / 394280 / 2022-09-26
1636 . 옥션 / 043790 / 2000-06-15
1637 . 온미디어 / 045710 / 2006-07-03
1638 . 온타임텍 / 074150 / 2005-07-08
1639 . 올리패스 / 244460 / 2019-09-20
1640 . 올릭스 / 226950 / 2018-07-18
1641 . 옴니시스템 / 057540 / 2007-09-19
1642 . 옴니텔 / 057680 / 2002-06-18
1643 . 옵토팩 / 123010 / 2016-07-20
1644 . 옵토팩 / 123010 / 2014-10-31
1645 . 옵티시스 / 109080 / 2011-07-12
1646 . 옵티팜 / 153710 / 2018-10-26
1647 . 와이더플래닛 / 321820 / 2021-02-03
1648 . 와이비엠서울음반 / 016170 / 2001-01-11
1649 . 와이비엠시사닷컴 / 057030 / 2004-06-08
1650 . 와이솔 / 122990 / 2010-09-10
1651 . 와이엔텍 / 067900 / 2005-12-23
1652 . 와이엠씨 / 155650 / 2012-11-15
1653 . 와이엠텍 / 273640 / 2021-09-10
1654 . 와이엠티 / 251370 / 2017-04-27
1655 . 와이지엔터테인먼트 / 122870 / 2011-11-23
1656 . 와이티엔 / 040300 / 2001-09-04
1657 . 와이팜 / 332570 / 2020-07-31
1658 . 와토스코리아 / 079000 / 2005-11-15
1659 . 완리 / 900180 / 2011-06-13
1660 . 외환신용카드 / 038400 / 2001-12-21
1661 . 용평리조트 / 070960 / 2016-05-27
1662 . 용현비엠 / 089230 / 2006-10-10
1663 . 우노 / 114630 / 2010-01-15
1664 . 우리SL스팩 / 207720 / 2014-12-17
1665 . 우리금융지주 / 316140 / 2019-02-13
1666 . 우리금융지주 / 053000 / 2002-06-24
1667 . 우리기술 / 032820 / 2000-06-22
1668 . 우리기술투자 / 041190 / 2000-06-09
1669 . 우리넷 / 115440 / 2010-01-27
1670 . 우리들생명과학 / 118000 / 2009-12-30
1671 . 우리로광통신 / 046970 / 2012-11-27
1672 . 우리별텔레콤 / 040420 / 2000-08-01
1673 . 우리산업 / 215360 / 2015-05-06
1674 . 우리산업 / 072470 / 2003-10-28
1675 . 우리손에프앤지 / 073560 / 2016-07-27
1676 . 우리스팩1호 / 122750 / 2010-05-11
1677 . 우리스팩2호 / 182360 / 2013-11-21
1678 . 우리스팩3호 / 198440 / 2014-08-13
1679 . 우리은행 / 000030 / 2014-11-19
1680 . 우리이앤엘 / 153490 / 2013-02-05
1681 . 우리이티아이 / 082850 / 2005-07-29
1682 . 우림기계 / 101170 / 2009-04-28
1683 . 우방타워랜드 / 084680 / 2005-07-26
1684 . 우석에스텍 / 043580 / 2001-08-02
1685 . 우성아이앤씨 / 011080 / 2004-07-02
1686 . 우수기계공업 / 066590 / 2003-02-12
1687 . 우수씨엔에스 / 060550 / 2002-02-28
1688 . 우신시스템 / 017370 / 2002-05-28
1689 . 우신시스템 / 017370 / 2001-08-09
1690 . 우양 / 103840 / 2019-11-20
1691 . 우양에이치씨 / 101970 / 2012-07-26
1692 . 우전시스텍 / 045880 / 2002-02-07
1693 . 우주일렉트로닉스 / 065680 / 2004-01-02
1694 . 우주통신 / 054080 / 2001-10-09
1695 . 우진 / 105840 / 2010-07-26
1696 . 우진비앤지 / 018620 / 2008-05-20
1697 . 우진세렉스 / 049800 / 2006-05-24
1698 . 우진세렉스 / 049800 / 2001-07-26
1699 . 우진아이엔에스 / 010400 / 2018-09-14
1700 . 우진에이씨티 / 083550 / 2005-12-20
1701 . 우진코리아 / 056060 / 2002-01-15
1702 . 웅진씽크빅 / 095720 / 2007-05-31
1703 . 웅진에너지 / 103130 / 2010-06-30
1704 . 웅진코웨이 / 021240 / 2001-08-07
1705 . 원바이오젠 / 278380 / 2019-06-03
1706 . 원방테크 / 053080 / 2020-09-24
1707 . 원익IPS / 240810 / 2016-05-02
1708 . 원익머트리얼즈 / 104830 / 2011-12-28
1709 . 원익쿼츠 / 074600 / 2003-12-12
1710 . 원일정기 / 054440 / 2001-11-22
1711 . 원준 / 382840 / 2021-10-07
1712 . 원텍 / 216280 / 2015-04-29
1713 . 원티드랩 / 376980 / 2021-08-11
1714 . 원포유 / 122830 / 2020-10-23
1715 . 월덱스 / 101160 / 2008-06-19
1716 . 월드에셋그랜드스램이호성장형펀드 / 039160 / 2000-04-21
1717 . 월드에셋그랜드슬램성장형일호펀드 / 038020 / 2000-01-12
1718 . 월드텔레콤 / 047610 / 2000-12-12
1719 . 웨이브일렉트로닉스 / 095270 / 2007-09-12
1720 . 웨이포트 / 900130 / 2010-07-23
1721 . 웹솔루스 / 160350 / 2013-07-01
1722 . 웹스 / 196700 / 2015-08-24
1723 . 웹젠 / 069080 / 2003-05-23
1724 . 웹케시 / 053580 / 2019-01-25
1725 . 위니아에이드 / 377460 / 2022-06-23
1726 . 위닉스 / 044340 / 2000-10-24
1727 . 위다스 / 056810 / 2002-01-15
1728 . 위더스제약 / 330350 / 2020-07-03
1729 . 위드텍 / 348350 / 2020-10-30
1730 . 위메이드 / 112040 / 2009-12-18
1731 . 위세아이텍 / 065370 / 2020-02-10
1732 . 위세아이텍 / 065370 / 2018-04-02
1733 . 위월드 / 140660 / 2013-12-26
1734 . 위자드소프트 / 051980 / 2001-07-31
1735 . 위즈위드 / 069920 / 2007-12-05
1736 . 위즈정보기술 / 038620 / 2000-05-04
1737 . 위지윅스튜디오 / 299900 / 2018-12-20
1738 . 위트콤 / 050640 / 2005-08-05
1739 . 윈스테크넷 / 136540 / 2011-05-02
1740 . 윈스테크넷 / 067160 / 2003-12-19
1741 . 윈팩 / 097800 / 2013-03-07
1742 . 윈포넷 / 083640 / 2005-12-27
1743 . 윈하이텍 / 192390 / 2014-07-25
1744 . 윌링스 / 313760 / 2019-07-25
1745 . 윌텍정보통신 / 039390 / 2000-07-25
1746 . 윙입푸드 / 900340 / 2018-11-30
1747 . 유나이티드 / 033270 / 2007-10-23
1748 . 유니더스 / 044480 / 2001-01-11
1749 . 유니드 / 014830 / 2004-12-03
1750 . 유니드비티플러스 / 446070 / 2022-11-28
1751 . 유니씨앤티 / 040780 / 2000-06-27
1752 . 유니온커뮤니티 / 203450 / 2016-12-07
1753 . 유니온커뮤니티 / 203450 / 2014-07-23
1754 . 유니와이드테크놀러지 / 034010 / 2000-04-27
1755 . 유니퀘스트 / 077500 / 2004-08-05
1756 . 유니테스트 / 086390 / 2006-12-05
1757 . 유니테크노 / 241690 / 2016-09-20
1758 . 유니텍전자 / 039040 / 2000-03-21
1759 . 유니트론텍 / 142210 / 2016-02-02
1760 . 유니포인트 / 121060 / 2014-10-24
1761 . 유디피 / 091270 / 2014-12-12
1762 . 유레스 / 067830 / 2002-07-25
1763 . 유리뉴앙상블시스템혼합형펀드 / 046520 / 2000-07-31
1764 . 유리세이프롱숏채권혼합형펀드 / 058910 / 2001-08-06
1765 . 유리세이프전환혼합형펀드 / 052530 / 2001-04-02
1766 . 유리아이티벤처일호펀드 / 045550 / 2000-07-10
1767 . 유리앙상블시스템펀드 / 039280 / 2000-03-17
1768 . 유리크레디트회사채혼합형펀드 / 051990 / 2001-03-05
1769 . 유바이오로직스 / 206650 / 2017-01-24
1770 . 유비벨록스 / 089850 / 2010-06-18
1771 . 유비온 / 084440 / 2022-11-18
1772 . 유비온 / 084440 / 2014-01-21
1773 . 유비쿼스 / 264450 / 2017-03-31
1774 . 유비쿼스 / 078070 / 2009-01-23
1775 . 유신코퍼레이션 / 054930 / 2002-01-15
1776 . 유쎌 / 252370 / 2016-09-29
1777 . 유아이디 / 069330 / 2003-08-18
1778 . 유안타제10호스팩 / 435380 / 2022-10-06
1779 . 유안타제1호스팩 / 204620 / 2014-11-19
1780 . 유안타제2호스팩 / 219960 / 2015-07-17
1781 . 유안타제3호스팩 / 287410 / 2018-05-08
1782 . 유안타제4호스팩 / 313750 / 2019-03-21
1783 . 유안타제5호스팩 / 336060 / 2019-11-28
1784 . 유안타제6호스팩 / 340360 / 2019-12-19
1785 . 유안타제7호스팩 / 367460 / 2020-12-28
1786 . 유안타제8호스팩 / 367480 / 2021-04-05
1787 . 유안타제9호스팩 / 430700 / 2022-08-04
1788 . 유앤아이 / 056090 / 2015-11-12
1789 . 유엑스엔 / 337840 / 2019-11-28
1790 . 유엔젤 / 072130 / 2003-07-01
1791 . 유일로보틱스 / 388720 / 2022-03-18
1792 . 유일에너테크 / 340930 / 2021-02-25
1793 . 유일전자 / 049520 / 2001-08-02
1794 . 유지인트 / 195990 / 2015-04-13
1795 . 유진데이타 / 052810 / 2001-12-13
1796 . 유진스팩1호 / 187790 / 2014-05-08
1797 . 유진스팩3호 / 221200 / 2015-09-09
1798 . 유진스팩4호 / 321260 / 2019-05-31
1799 . 유진스팩5호 / 331380 / 2019-10-02
1800 . 유진스팩6호 / 373340 / 2021-04-08
1801 . 유진스팩7호 / 388800 / 2021-09-13
1802 . 유진스팩8호 / 413630 / 2022-03-31
1803 . 유진스팩9호 / 442130 / 2022-12-01
1804 . 유진에이씨피씨스팩2호 / 215090 / 2015-04-28
1805 . 유진테크 / 084370 / 2006-01-17
1806 . 유테크 / 178780 / 2015-06-30
1807 . 유투바이오 / 221800 / 2015-06-29
1808 . 유티아이 / 179900 / 2017-09-27
1809 . 유틸렉스 / 263050 / 2018-12-24
1810 . 유펄스 / 050760 / 2002-05-16
1811 . 육일씨엔에쓰 / 191410 / 2015-12-24
1812 . 윤디자인연구소 / 047770 / 2001-09-18
1813 . 윤성에프앤씨 / 372170 / 2022-11-14
1814 . 은성코퍼레이션 / 065950 / 2003-07-29
1815 . 이건창호시스템 / 039020 / 2000-05-04
1816 . 이글루시큐리티 / 067920 / 2010-08-04
1817 . 이-글벳 / 044960 / 2000-11-16
1818 . 이김프로덕션 / 210120 / 2014-12-16
1819 . 이너스텍 / 109960 / 2009-11-13
1820 . 이네트 / 042340 / 2000-06-22
1821 . 이노뎁 / 303530 / 2021-06-18
1822 . 이노디지털 / 045390 / 2001-05-17
1823 . 이노룰스 / 296640 / 2022-10-07
1824 . 이노메트리 / 302430 / 2018-12-12
1825 . 이노벡스 / 279060 / 2019-04-12
1826 . 이노션 / 214320 / 2015-07-17
1827 . 이노와이어리스 / 073490 / 2005-02-04
1828 . 이노진 / 344860 / 2020-04-27
1829 . 이노칩테크놀로지 / 080420 / 2005-12-06
1830 . 이노테라피 / 246960 / 2019-02-01
1831 . 이녹스 / 088390 / 2006-10-20
1832 . 이녹스첨단소재 / 272290 / 2017-07-10
1833 . 이니시스 / 035600 / 2002-11-22
1834 . 이니텍 / 053350 / 2001-11-15
1835 . 이더블유케이 / 258610 / 2017-08-22
1836 . 이도바이오 / 336040 / 2019-12-02
1837 . 이라이콤 / 041520 / 2003-07-04
1838 . 이랜텍 / 054210 / 2002-05-09
1839 . 이레전자산업 / 045310 / 2002-01-10
1840 . 이루넷 / 041030 / 2000-05-30
1841 . 이루다 / 164060 / 2020-08-06
1842 . 이리츠코크렙 / 088260 / 2018-06-27
1843 . 이림테크 / 054940 / 2001-12-13
1844 . 이마트 / 139480 / 2011-06-10
1845 . 이모션 / 052770 / 2002-08-22
1846 . 이미지스 / 115610 / 2010-02-26
1847 . 이미지퀘스트 / 048410 / 2002-08-08
1848 . 이베스트스팩2호 / 217600 / 2015-06-26
1849 . 이베스트스팩3호 / 225440 / 2015-10-19
1850 . 이베스트스팩5호 / 349720 / 2020-05-20
1851 . 이베스트이안스팩1호 / 323210 / 2019-07-15
1852 . 이비테크 / 208850 / 2016-06-22
1853 . 이삭엔지니어링 / 351330 / 2021-04-21
1854 . 이상네트웍스 / 080010 / 2005-09-30
1855 . 이성씨엔아이 / 379390 / 2021-06-04
1856 . 이수세라믹 / 032180 / 2000-04-18
1857 . 이수앱지스 / 086890 / 2009-02-03
1858 . 이수페타시스 / 007660 / 2003-10-07
1859 . 이스턴테크놀로지 / 051530 / 2001-07-03
1860 . 이스트소프트 / 047560 / 2008-07-01
1861 . 이씨에스텔레콤 / 067010 / 2007-12-18
1862 . 이앤에치 / 341310 / 2019-12-27
1863 . 이앤이시스템 / 065160 / 2002-07-30
1864 . 이앤텍 / 047450 / 2000-11-23
1865 . 이에스브이 / 223310 / 2015-12-24
1866 . 이에스산업 / 241510 / 2016-04-26
1867 . 이엔드디 / 101360 / 2020-07-30
1868 . 이엔드디 / 101360 / 2013-07-01
1869 . 이엔에프테크놀로지 / 102710 / 2009-05-28
1870 . 이엘케이 / 094190 / 2007-10-29
1871 . 이엘피 / 063760 / 2017-04-06
1872 . 이엘피 / 063760 / 2015-04-28
1873 . 이엠넷 / 123570 / 2011-11-25
1874 . 이엠따블유안테나 / 079190 / 2005-11-29
1875 . 이엠엘에스아이 / 080220 / 2005-02-01
1876 . 이엠코리아 / 095190 / 2007-10-29
1877 . 이엠테크닉스 / 064240 / 2003-06-11
1878 . 이엠텍 / 091120 / 2007-05-02
1879 . 이엠티 / 232530 / 2015-12-30
1880 . 이연제약 / 102460 / 2010-06-10
1881 . 이오리스 / 041060 / 2000-06-07
1882 . 이오테크닉스 / 039030 / 2000-08-24
1883 . 이오플로우 / 294090 / 2020-09-14
1884 . 이원컴포텍 / 088290 / 2009-12-01
1885 . 이젠텍 / 033600 / 2000-11-21
1886 . 이즈미디어 / 181340 / 2017-07-26
1887 . 이지 / 037370 / 2000-01-11
1888 . 이지바이오 / 353810 / 2020-06-05
1889 . 이지스레지던스리츠 / 350520 / 2020-08-05
1890 . 이지스밸류플러스리츠 / 334890 / 2020-07-16
1891 . 이지웰페어 / 090850 / 2013-12-27
1892 . 이지케어텍 / 099750 / 2019-03-22
1893 . 이지트로닉스 / 377330 / 2022-02-04
1894 . 이코리아리츠 / 138440 / 2011-03-10
1895 . 이코인 / 048130 / 2001-11-22
1896 . 이크레더블 / 092130 / 2008-10-24
1897 . 이트레이드1호스팩 / 126700 / 2010-09-10
1898 . 이트레이드증권 / 078020 / 2007-02-21
1899 . 이푸른 / 185280 / 2013-11-12
1900 . 이퓨쳐 / 134060 / 2011-04-27
1901 . 익스팬전자 / 039790 / 2000-07-25
1902 . 인네트 / 041450 / 2000-07-20
1903 . 인바이오 / 352940 / 2020-12-11
1904 . 인바이오넷 / 039060 / 2001-06-19
1905 . 인벤티지랩 / 389470 / 2022-11-22
1906 . 인산가 / 062580 / 2015-12-21
1907 . 인선이엔티 / 060150 / 2002-06-14
1908 . 인젠 / 041630 / 2002-01-15
1909 . 인천도시가스 / 034590 / 2006-11-07
1910 . 인츠커뮤니티 / 046240 / 2000-11-07
1911 . 인카금융서비스 / 211050 / 2022-02-16
1912 . 인카금융서비스 / 211050 / 2015-11-16
1913 . 인컴아이엔씨 / 047370 / 2001-05-29
1914 . 인크로스 / 216050 / 2016-10-31
1915 . 인탑스 / 049070 / 2002-02-21
1916 . 인터넷엠비씨 / 052220 / 2005-01-21
1917 . 인터로조 / 119610 / 2010-07-28
1918 . 인터스타테크놀러지 / 051780 / 2001-06-26
1919 . 인터지스 / 129260 / 2011-12-16
1920 . 인터코스 / 240340 / 2016-04-21
1921 . 인터파크INT / 108790 / 2014-02-06
1922 . 인터플렉스 / 051370 / 2003-01-22
1923 . 인텍플러스 / 064290 / 2011-01-05
1924 . 인텔리안테크 / 189300 / 2016-10-18
1925 . 인투스테크놀러지 / 033720 / 2000-06-27
1926 . 인트로메딕 / 150840 / 2013-12-19
1927 . 인트론바이오 / 048530 / 2011-01-26
1928 . 인팩 / 023810 / 2004-09-21
1929 . 인포마크 / 175140 / 2015-09-23
1930 . 인포바인 / 115310 / 2010-02-09
1931 . 인포뱅크 / 039290 / 2006-07-04
1932 . 인포피아 / 036220 / 2007-06-05
1933 . 인프라밸리 / 073130 / 2005-01-19
1934 . 인프라웨어 / 041020 / 2005-10-28
1935 . 인프라웨어테크놀러지 / 247300 / 2016-07-08
1936 . 인프론테크놀로지 / 052290 / 2001-05-31
1937 . 인피니트헬스케어 / 071200 / 2010-05-26
1938 . 인피트론 / 045470 / 2000-07-27
1939 . 인화정공 / 101930 / 2010-10-22
1940 . 일동제약 / 249420 / 2016-08-31
1941 . 일륭텔레시스 / 042870 / 2000-06-27
1942 . 일신랩 / 068330 / 2007-12-26
1943 . 일야하이텍 / 058450 / 2002-01-17
1944 . 일진다이아 / 081000 / 2004-12-22
1945 . 일진머티리얼즈 / 020150 / 2011-03-04
1946 . 일진몬드 / 020760 / 2002-01-09
1947 . 일진전기 / 103590 / 2008-08-01
1948 . 일진정공 / 094820 / 2007-11-06
1949 . 일진하이솔루스 / 271940 / 2021-09-01
1950 . 잇츠스킨 / 226320 / 2015-12-28
1951 . 잉글우드랩 / 950140 / 2016-10-14
1952 . 잉크테크 / 049550 / 2002-02-28
1953 . 자비스 / 230400 / 2015-11-17
1954 . 자연과환경 / 043910 / 2005-11-18
1955 . 자원메디칼 / 043630 / 2000-07-04
1956 . 자이글 / 234920 / 2016-09-06
1957 . 자이언트스텝 / 289220 / 2021-03-24
1958 . 자이에스앤디 / 317400 / 2019-11-06
1959 . 자티전자 / 052650 / 2001-12-18
1960 . 잘만테크 / 090120 / 2007-05-22
1961 . 장원엔지니어링 / 038830 / 2000-08-31
1962 . 장원테크 / 174880 / 2016-07-15
1963 . 재승정보통신 / 035780 / 2000-01-13
1964 . 재영솔루텍 / 049630 / 2003-01-24
1965 . 저스템 / 417840 / 2022-10-28
1966 . 전신전자 / 042820 / 2000-07-11
1967 . 전우정밀 / 120780 / 2016-12-23
1968 . 전진바이오팜 / 110020 / 2018-12-14
1969 . 정다운 / 224090 / 2015-07-31
1970 . 정소프트 / 056850 / 2001-12-20
1971 . 정원엔시스템 / 045510 / 2000-09-07
1972 . 정호코리아 / 065310 / 2002-07-19
1973 . 제너셈 / 217190 / 2015-09-25
1974 . 제너시스템즈 / 073930 / 2008-03-26
1975 . 제넥신 / 095700 / 2009-09-15
1976 . 제노레이 / 122310 / 2018-05-28
1977 . 제노코 / 361390 / 2021-03-24
1978 . 제노텍 / 066830 / 2016-07-18
1979 . 제노포커스 / 187420 / 2015-05-29
1980 . 제놀루션 / 225220 / 2020-07-24
1981 . 제놀루션 / 225220 / 2015-08-03
1982 . 제닉 / 123330 / 2011-08-03
1983 . 제로투세븐 / 159580 / 2013-02-19
1984 . 제룡산업 / 147830 / 2012-02-13
1985 . 제우스 / 079370 / 2006-02-01
1986 . 제이브이엠 / 054950 / 2006-06-07
1987 . 제이씨엔터테인먼트 / 067000 / 2008-05-30
1988 . 제이씨케미칼 / 137950 / 2011-08-08
1989 . 제이아이테크 / 417500 / 2022-11-04
1990 . 제이알글로벌리츠 / 348950 / 2020-08-07
1991 . 제이앤티씨 / 204270 / 2020-03-04
1992 . 제이에스코퍼레이션 / 194370 / 2016-02-04
1993 . 제이에스피브이 / 250300 / 2016-08-10
1994 . 제이엔케이히터 / 126880 / 2011-01-31
1995 . 제이엘케이인스펙션 / 322510 / 2019-12-11
1996 . 제이엠멀티 / 254160 / 2021-12-13
1997 . 제이엠텔레콤 / 094970 / 2007-10-12
1998 . 제이엠피 / 054790 / 2001-12-06
1999 . 제이콘텐트리 / 036420 / 2019-10-18
2000 . 제이콤 / 060750 / 2002-04-11
2001 . 제이티 / 089790 / 2006-10-27
2002 . 제일모직 / 028260 / 2014-12-18
2003 . 제일바이오 / 052670 / 2002-01-24
2004 . 제일약품 / 271980 / 2017-07-17
2005 . 제일엔테크 / 053330 / 2001-11-01
2006 . 제일연마 / 001560 / 2005-12-09
2007 . 제일전기공업 / 199820 / 2020-11-26
2008 . 제일중공 / 038010 / 2000-01-11
2009 . 제일창업투자 / 026540 / 2000-06-20
2010 . 제일컴테크 / 037550 / 2002-01-17
2011 . 제일홀딩스 / 003380 / 2017-06-30
2012 . 제주맥주 / 276730 / 2021-05-26
2013 . 제주항공 / 089590 / 2015-11-06
2014 . 제테마 / 216080 / 2019-11-14
2015 . 젠네트웍스 / 038500 / 2001-02-01
2016 . 젠큐릭스 / 229000 / 2020-06-25
2017 . 젠큐릭스 / 229000 / 2015-10-27
2018 . 젠트로 / 083660 / 2006-07-25
2019 . 젬 / 248020 / 2021-10-22
2020 . 젯텍 / 090470 / 2007-01-10
2021 . 조광아이엘아이 / 044060 / 2001-01-18
2022 . 조선선재 / 120030 / 2010-02-19
2023 . 조이맥스 / 101730 / 2009-06-03
2024 . 종근당 / 185750 / 2013-12-06
2025 . 종근당바이오 / 063160 / 2001-12-11
2026 . 주노콜렉션 / 221670 / 2017-06-27
2027 . 주식회사삼영 / 036530 / 2002-10-22
2028 . 주연테크 / 044380 / 2006-11-15
2029 . 줌인터넷 / 229480 / 2016-06-10
2030 . 중국고섬 / 950070 / 2011-01-25
2031 . 중국식품포장 / 900060 / 2009-03-27
2032 . 중국엔진집단 / 900080 / 2009-12-04
2033 . 중국원양자원 / 900050 / 2009-05-22
2034 . 중앙디자인 / 030030 / 2001-12-04
2035 . 중앙바이오텍 / 015170 / 2000-08-24
2036 . 중앙백신연구소 / 072020 / 2003-10-31
2037 . 중앙소프트웨어 / 034980 / 2000-07-13
2038 . 중외홀딩스 / 096760 / 2007-07-31 2039 . 지나월드 / 056080 / 2001-11-13
2040 . 지노믹트리 / 228760 / 2019-03-27
2041 . 지노믹트리 / 228760 / 2016-07-19
2042 . 지놈앤컴퍼니 / 314130 / 2020-12-23
2043 . 지놈앤컴퍼니 / 314130 / 2018-12-26
2044 . 지누스 / 013890 / 2019-10-30
2045 . 지니너스 / 389030 / 2021-11-08
2046 . 지니언스 / 263860 / 2017-08-02
2047 . 지디 / 155960 / 2013-02-13
2048 . 지비베트남1 / 094950 / 2007-05-08
2049 . 지성이씨에스 / 138290 / 2015-11-30
2050 . 지식발전소 / 066270 / 2003-11-07
2051 . 지아이텍 / 382480 / 2021-10-21
2052 . 지앤비에스엔지니어링 / 382800 / 2021-10-29
2053 . 지앤알경매1 / 085450 / 2005-09-06
2054 . 지앤알경매2 / 088510 / 2006-02-01
2055 . 지앤이바이오텍 / 299480 / 2018-06-29
2056 . 지어소프트 / 051160 / 2002-05-28
2057 . 지에프씨생명과학 / 388610 / 2022-12-23
2058 . 지엔씨에너지 / 119850 / 2013-10-02
2059 . 지엔코 / 065060 / 2002-05-28
2060 . 지엔텍 / 065410 / 2002-08-01
2061 . 지엠비코리아 / 013870 / 2012-11-20
2062 . 지역난방공사 / 071320 / 2010-01-29
2063 . 지오엘리먼트 / 311320 / 2021-11-11
2064 . 지오텔 / 074140 / 2006-08-01
2065 . 지케이엘 / 114090 / 2009-11-19
2066 . 지투파워 / 388050 / 2022-04-01
2067 . 지티앤티 / 053870 / 2001-12-13
2068 . 지티지웰니스 / 219750 / 2018-09-21
2069 . 지티지웰니스 / 219750 / 2015-06-17
2070 . 진도에프앤 / 088790 / 2006-03-28
2071 . 진두네트워크 / 041320 / 2000-08-08
2072 . 진로 / 000080 / 2009-10-19
2073 . 진매트릭스 / 109820 / 2009-11-06
2074 . 진바이오텍 / 086060 / 2006-04-28
2075 . 진성티이씨 / 036890 / 2000-07-20
2076 . 진시스템 / 363250 / 2021-05-26
2077 . 진양제약 / 007370 / 2000-07-27
2078 . 진양홀딩스 / 100250 / 2008-02-15
2079 . 진양화학 / 051630 / 2001-01-29
2080 . 진에어 / 272450 / 2017-12-08
2081 . 진코스텍 / 250030 / 2019-11-29
2082 . 진화글로텍 / 068770 / 2005-05-20
2083 . 차디오스텍 / 196450 / 2014-06-02
2084 . 차백신연구소 / 261780 / 2021-10-22
2085 . 차이나그레이트 / 900040 / 2009-05-29
2086 . 차이나킹 / 900120 / 2010-03-31
2087 . 차이나하오란 / 900090 / 2010-02-05
2088 . 참테크 / 082660 / 2005-10-05
2089 . 창민테크 / 042960 / 2000-07-11
2090 . 창해에탄올 / 004650 / 2014-07-30
2091 . 창흥정보통신 / 042940 / 2000-10-19
2092 . 처음앤씨 / 111820 / 2010-06-18
2093 . 천랩 / 311690 / 2019-12-26
2094 . 천보 / 278280 / 2019-02-11
2095 . 청광종건 / 140290 / 2013-12-20
2096 . 청담글로벌 / 362320 / 2022-06-03
2097 . 체리부로 / 066360 / 2017-12-04
2098 . 첼로스포츠 / 094850 / 2007-04-30
2099 . 칩스앤미디어 / 094360 / 2015-08-05
2100 . 칩스앤미디어 / 094360 / 2013-10-29
2101 . 카엘 / 082270 / 2005-06-24
2102 . 카이노스메드 / 220250 / 2015-09-10
2103 . 카이바이오텍 / 446600 / 2022-12-23
2104 . 카이시스 / 015390 / 2001-08-09
2105 . 카카오 / 035720 / 2017-07-10
2106 . 카카오게임즈 / 293490 / 2020-09-10
2107 . 카카오뱅크 / 323410 / 2021-08-06
2108 . 카카오페이 / 377300 / 2021-11-03
2109 . 카페24 / 042000 / 2018-02-08
2110 . 캐드랜드 / 065560 / 2003-07-01
2111 . 캐로스 / 260490 / 2016-12-23
2112 . 캐리소프트 / 317530 / 2019-10-29
2113 . 캐스텍코리아 / 071850 / 2014-05-27
2114 . 컬러레이 / 900310 / 2017-08-10
2115 . 컴텍코리아 / 039980 / 2002-08-13
2116 . 컴투스 / 078340 / 2007-07-06
2117 . 컴퍼니케이 / 307930 / 2019-05-23
2118 . 케너텍 / 062730 / 2003-05-23
2119 . 케미메디 / 205290 / 2017-01-13
2120 . 케어랩스 / 263700 / 2018-03-28
2121 . 케어룸의료산업 / 327970 / 2019-08-05
2122 . 케어젠 / 214370 / 2015-11-17
2123 . 케이디미디어 / 063440 / 2002-05-30
2124 . 케이디엔스마텍 / 054020 / 2002-05-07
2125 . 케이디엠 / 027560 / 2001-01-11
2126 . 케이디켐 / 221980 / 2015-11-19
2127 . 케이맥 / 043290 / 2011-10-25
2128 . 케이비17호스팩 / 317030 / 2019-03-27
2129 . 케이비게임앤앱스스팩 / 131370 / 2011-01-05
2130 . 케이비부국위탁리츠 / 149130 / 2012-06-12
2131 . 케이비씨 / 038460 / 2000-06-22
2132 . 케이비제10호스팩 / 250930 / 2016-09-29
2133 . 케이비제11호스팩 / 258790 / 2017-04-27
2134 . 케이비제18호스팩 / 323940 / 2019-06-24
2135 . 케이비제19호스팩 / 330990 / 2019-09-30
2136 . 케이비제20호스팩 / 342550 / 2020-01-30
2137 . 케이비제21호스팩 / 424140 / 2022-06-23
2138 . 케이비제22호스팩 / 436530 / 2022-09-22
2139 . 케이비제23호스팩 / 440200 / 2022-11-03
2140 . 케이비제2호스팩 / 192250 / 2014-04-28
2141 . 케이비제3호스팩 / 203690 / 2014-09-30
2142 . 케이비제4호스팩 / 205500 / 2014-11-12
2143 . 케이비제5호스팩 / 208350 / 2014-12-24
2144 . 케이비제6호스팩 / 208640 / 2014-12-29
2145 . 케이비제7호스팩 / 214270 / 2015-03-25
2146 . 케이비제8호스팩 / 222390 / 2015-08-05
2147 . 케이비제9호스팩 / 232270 / 2016-02-29
2148 . 케이비테크놀러지 / 052400 / 2001-10-18
2149 . 케이씨더블류 / 068060 / 2003-01-28
2150 . 케이씨씨글라스 / 344820 / 2020-01-21
2151 . 케이씨아이 / 036670 / 2001-01-03 2152 . 케이씨에스 / 115500 / 2010-04-14 2153 . 케이씨텍 / 281820 / 2017-12-05 2154 . 케이아이엔엑스 / 093320 / 2011-02-08 2155 . 케이알제2호 / 101790 / 2008-05-08 2156 . 케이에스피 / 073010 / 2004-12-17 2157 . 케이에이치바텍 / 060720 / 2002-05-21 2158 . 케이엔더블유 / 105330 / 2009-09-29 2159 . 케이엔디티 / 046120 / 2010-06-15 2160 . 케이엔엔 / 058400 / 2010-11-03
2161 . 케이엔제이 / 272110 / 2019-10-25
2162 . 케이엘테크 / 082390 / 2005-07-26
2163 . 케이엠더블유 / 032500 / 2000-03-21
2164 . 케이엠제약 / 237720 / 2016-02-24
2165 . 케이옥션 / 102370 / 2022-01-24
2166 . 케이이씨 / 092220 / 2006-10-16
2167 . 케이이엔지 / 077960 / 2004-10-29
2168 . 케이카 / 381970 / 2021-10-13
2169 . 케이탑리츠 / 145270 / 2012-01-31
2170 . 케이티롤 / 122800 / 2010-11-26
2171 . 케이티비네트워크 / 298870 / 2021-12-16
2172 . 케이티비더블찬스채권혼합일호펀드 / 045800 / 2000-07-18
2173 . 케이티비벤처벌처일호펀드 / 038370 / 2000-03-17
2174 . 케이티비스팩1호 / 204650 / 2014-11-24
2175 . 케이티비스팩2호 / 214150 / 2015-04-03
2176 . 케이티비스팩3호 / 220630 / 2015-08-28
2177 . 케이티비장인환 ·안영회코스닥드림일 / 042300 / 2000-05-26
2178 . 케이티비장인환.안영회코스닥일호펀드 / 042310 / 2000-06-16
2179 . 케이티비장인환안영회자산배분형이호펀 / 038380 / 2000-02-25
2180 . 케이티비전환형사십시리즈일호펀드 / 038760 / 2000-03-31
2181 . 케이티비하이테크벤처이호펀드 / 039370 / 2000-04-21
2182 . 케이티스 / 058860 / 2010-12-17
2183 . 케이티스카이라이프 / 053210 / 2011-06-03
2184 . 케이티씨텔레콤 / 055810 / 2003-11-07
2185 . 케이프 / 064820 / 2007-05-29
2186 . 케이프이에스제4호 / 347140 / 2020-03-24
2187 . 케이피에스 / 256940 / 2017-09-06
2188 . 케이피에스 / 256940 / 2016-12-21
2189 . 케이피엠테크 / 042040 / 2003-01-07
2190 . 케이피케미칼 / 064420 / 2002-06-21
2191 . 케이피티 / 054410 / 2002-04-25
2192 . 켄코아에어로스페이스 / 274090 / 2020-03-03
2193 . 켈스 / 402420 / 2021-11-30
2194 . 켐트로닉스 / 089010 / 2007-01-17
2195 . 코나솔 / 176590 / 2022-06-15
2196 . 코난테크놀로지 / 402030 / 2022-07-07
2197 . 코닉글로리 / 094860 / 2007-04-16
2198 . 코닉테크 / 047820 / 2002-12-24
2199 . 코다코 / 046070 / 2000-12-26
2200 . 코디에스 / 080530 / 2010-01-05
2201 . 코디엠 / 224060 / 2015-12-29
2202 . 코디콤 / 041800 / 2001-12-13
2203 . 코라오홀딩스 / 900140 / 2010-11-30
2204 . 코람스틸 / 046210 / 2000-08-16
2205 . 코람코더원리츠 / 417310 / 2022-03-28
2206 . 코람코에너지리츠 / 357120 / 2020-08-31
2207 . 코렌 / 078650 / 2010-10-22
2208 . 코렌텍 / 104540 / 2013-03-05
2209 . 코리아01호 / 090970 / 2006-07-21
2210 . 코리아02호 / 090980 / 2006-07-21
2211 . 코리아03호 / 090990 / 2006-07-21
2212 . 코리아04호 / 091000 / 2006-07-21
2213 . 코리아05호 / 093400 / 2007-01-22
2214 . 코리아06호 / 093410 / 2007-01-22
2215 . 코리아07호 / 099210 / 2008-01-07
2216 . 코리아센터 / 290510 / 2019-11-29
2217 . 코리아에셋투자증권 / 190650 / 2019-11-20
2218 . 코리아에스이 / 101670 / 2008-07-15
2219 . 코리아오토글라스 / 152330 / 2015-12-29
2220 . 코리언일랙트로닉스파워소스 / 046810 / 2000-08-18
2221 . 코맥스 / 036690 / 2000-01-18 2222 . 코메론 / 049430 / 2001-01-16 2223 . 코미코 / 183300 / 2017-03-23 2224 . 코미코 / 059090 / 2002-01-15 2225 . 코바이오텍 / 043090 / 2001-10-11 2226 . 코셋 / 189350 / 2013-12-24 2227 . 코스맥스 / 192820 / 2014-04-07 2228 . 코스맥스 / 044820 / 2006-11-13 2229 . 코스맥스 / 044820 / 2002-02-07 2230 . 코스메카코리아 / 241710 / 2016-10-28
2231 . 코스텍시스템 / 169670 / 2022-01-21 2232 . 코아로직 / 048870 / 2004-08-13 2233 . 코아스템 / 166480 / 2015-06-26 2234 . 코아정보시스템 / 039990 / 2000-06-13 2235 . 코어세스 / 052210 / 2002-12-23 2236 . 코엔텍 / 029960 / 2004-06-18 2237 . 코오롱머티리얼 / 144620 / 2012-04-05 2238 . 코오롱생명과학 / 102940 / 2009-04-07 2239 . 코오롱아이넷 / 022520 / 2011-07-19 2240 . 코오롱인더 / 120110 / 2010-02-01
2241 . 코오롱인터내셔널 / 063510 / 2001-12-24
2242 . 코오롱정보통신 / 022520 / 2001-09-13
2243 . 코오롱플라스틱 / 138490 / 2011-06-15
2244 . 코웰시스넷 / 050050 / 2000-12-21
2245 . 코웰이홀딩스유한공사 / 900020 / 2008-01-29
2246 . 코위버 / 056360 / 2001-12-04
2247 . 코윈테크 / 282880 / 2019-08-05
2248 . 코이즈 / 121850 / 2012-09-27
2249 . 코코엔터프라이즈 / 039530 / 2000-03-21
2250 . 코크렙7호 / 086720 / 2005-11-11
2251 . 코크렙8호 / 090540 / 2006-06-15
2252 . 코크렙십오호 / 121550 / 2010-01-29
2253 . 코텍 / 052330 / 2001-07-10
2254 . 코프라 / 126600 / 2010-11-12
2255 . 콜린스 / 056010 / 2002-08-13
2256 . 콤텔시스템 / 060900 / 2002-09-17
2257 . 쿠첸 / 225650 / 2015-09-04
2258 . 쿠콘 / 294570 / 2021-04-28
2259 . 쿠쿠전자 / 192400 / 2014-08-06
2260 . 쿠쿠홈시스 / 284740 / 2018-01-11
2261 . 퀀타매트릭스 / 317690 / 2020-12-09
2262 . 큐라클 / 365270 / 2021-07-22
2263 . 큐리언트 / 115180 / 2016-02-29
2264 . 큐알티 / 405100 / 2022-11-02
2265 . 큐에스아이 / 066310 / 2006-11-24
2266 . 큐엠씨 / 136660 / 2014-07-01
2267 . 크라운제과 / 264900 / 2017-04-11
2268 . 크래프톤 / 259960 / 2021-08-10
2269 . 크레듀 / 067280 / 2006-11-16
2270 . 크로넥스 / 215570 / 2015-12-28
2271 . 크로바하이텍 / 043590 / 2001-12-20
2272 . 크루셜텍 / 114120 / 2010-07-21
2273 . 크리스에프앤씨 / 110790 / 2018-10-01
2274 . 크리스탈신소재 / 900250 / 2016-01-28
2275 . 크리스탈지노믹스 / 083790 / 2006-01-06
2276 . 크린앤사이언스 / 045520 / 2000-12-05
2277 . 크린에어테크놀로지 / 064060 / 2002-07-30
2278 . 클리노믹스 / 352770 / 2020-12-04
2279 . 클리오 / 237880 / 2016-11-09
2280 . 키움닷컴증권 / 039490 / 2004-04-23
2281 . 키움스팩1호 / 123840 / 2010-10-05
2282 . 키움스팩2호 / 184230 / 2013-12-20
2283 . 키움스팩3호 / 218710 / 2015-07-06
2284 . 키움스팩4호 / 226850 / 2015-10-29
2285 . 키움제5호스팩 / 311270 / 2018-12-26
2286 . 키움제6호스팩 / 413600 / 2022-04-07
2287 . 키움제7호스팩 / 433530 / 2022-09-07
2288 . 키움증권 / 039490 / 2009-08-03
2289 . 키이엔지니어링 / 055250 / 2001-12-06
2290 . 타이거일렉 / 219130 / 2015-09-25
2291 . 타이드 / 346010 / 2022-12-28
2292 . 타임기술 / 318660 / 2021-06-24
2293 . 타임아이엔씨 / 046930 / 2000-08-18
2294 . 타프시스템 / 039350 / 2000-12-07
2295 . 탈로스 / 434190 / 2022-10-24
2296 . 탈모닷컴 / 284610 / 2017-12-22
2297 . 탑금속 / 019770 / 2011-06-24
2298 . 탑머티리얼 / 360070 / 2022-10-18
2299 . 탑선 / 180060 / 2017-10-27
2300 . 탑엔지니어링 / 065130 / 2003-01-29
2301 . 태경화학 / 006890 / 2003-01-28
2302 . 태광이엔시 / 048140 / 2001-04-26
2303 . 태양기계 / 116100 / 2013-07-01
2304 . 태양기전 / 072520 / 2004-10-29
2305 . 태양산업 / 053620 / 2001-08-07
2306 . 태영텔스타 / 060840 / 2002-02-07
2307 . 태웅 / 044490 / 2001-11-08
2308 . 태웅로직스 / 124560 / 2019-12-10
2309 . 태인테크 / 043200 / 2000-07-19
2310 . 태창메텍 / 038980 / 2000-07-04
2311 . 태화일렉트론 / 067950 / 2004-01-26
2312 . 택산전자 / 036900 / 2000-01-11
2313 . 테고사이언스 / 191420 / 2014-11-06
2314 . 테라세미콘 / 123100 / 2011-11-01
2315 . 테라셈 / 182690 / 2014-10-30
2316 . 테라셈 / 182690 / 2013-10-11
2317 . 테라텍 / 151750 / 2013-07-01
2318 . 테스 / 095610 / 2008-05-20
2319 . 테스나 / 131970 / 2013-10-22
2320 . 테스텍 / 048510 / 2001-06-14
2321 . 테이크시스템즈 / 076090 / 2005-07-26
2322 . 테이팩스 / 055490 / 2017-10-31
2323 . 테코스 / 053950 / 2001-11-06
2324 . 테크노세미켐 / 036830 / 2000-01-18
2325 . 테크메이트 / 043690 / 2001-06-28
2326 . 테크엔 / 308700 / 2018-12-21
2327 . 테크윙 / 089030 / 2011-11-10
2328 . 테크트랜스 / 258050 / 2018-07-13
2329 . 텍셀 / 038540 / 2000-08-18
2330 . 텔넷아이티 / 043220 / 2001-07-03
2331 . 텔레칩스 / 054450 / 2004-12-10
2332 . 텔레필드 / 091440 / 2008-02-01
2333 . 텔로드 / 056730 / 2002-01-04
2334 . 텔코웨어 / 078000 / 2004-07-20
2335 . 텔콘 / 200230 / 2014-11-24
2336 . 토니모리 / 214420 / 2015-07-10
2337 . 토마토시스템 / 393210 / 2021-10-14
2338 . 토비스 / 051360 / 2004-11-19
2339 . 토탈소프트뱅크 / 045340 / 2002-07-19
2340 . 토필드 / 057880 / 2003-12-29
2341 . 톱텍 / 108230 / 2009-09-15
2342 . 투비소프트 / 079970 / 2010-06-01
2343 . 툴젠 / 199800 / 2021-12-10
2344 . 툴젠 / 199800 / 2014-06-25
2345 . 트라이 / 102280 / 2008-06-10
2346 . 트라이콤 / 038410 / 2006-07-25
2347 . 트래픽아이티에스 / 038050 / 2002-01-10
2348 . 트러스제7호 / 140890 / 2011-09-30
2349 . 트루윈 / 105550 / 2014-07-11
2350 . 트윔 / 290090 / 2021-11-17
2351 . 티라유텍 / 322180 / 2019-10-31
2352 . 티로보틱스 / 117730 / 2018-11-29
2353 . 티브이로직 / 121800 / 2011-12-01
2354 . 티슈진 / 950160 / 2017-11-06
2355 . 티쓰리 / 204610 / 2022-11-17
2356 . 티씨케이 / 064760 / 2003-08-18
2357 . 티앤알바이오팹 / 246710 / 2018-11-28
2358 . 티앤엘 / 340570 / 2020-11-20
2359 . 티에스아이 / 277880 / 2020-07-22
2360 . 티에스아이 / 277880 / 2017-10-30
2361 . 티에스엠텍 / 066350 / 2003-01-21
2362 . 티에스이 / 131290 / 2011-01-05
2363 . 티에스인베스트먼트 / 246690 / 2016-12-15
2364 . 티에프이 / 425420 / 2022-11-17
2365 . 티엘비 / 356860 / 2020-12-14
2366 . 티엘아이 / 062860 / 2006-07-25
2367 . 티엘엔지니어링 / 413300 / 2022-09-27
2368 . 티와이홀딩스 / 363280 / 2020-09-22
2369 . 티움바이오 / 321550 / 2019-11-22
2370 . 티웨이항공 / 091810 / 2018-08-01
2371 . 티케이씨 / 191600 / 2016-08-05
2372 . 티케이케미칼 / 104480 / 2011-04-26
2373 . 티티씨디펜스 / 309900 / 2019-06-27
2374 . 티플랙스 / 081150 / 2009-04-23
2375 . 티피씨글로벌 / 130740 / 2011-02-08
2376 . 티피씨메카트로닉스 / 048770 / 2001-01-16
2377 . 틸론 / 217880 / 2015-05-28
2378 . 팀스 / 134790 / 2011-01-25
2379 . 팅크웨어 / 084730 / 2006-05-19
2380 . 파라다이스 / 034230 / 2002-11-05
2381 . 파마리서치프로덕트 / 214450 / 2015-07-24
2382 . 파멥신 / 208340 / 2018-11-21
2383 . 파버나인 / 177830 / 2014-08-04
2384 . 파브코 / 101990 / 2008-06-09
2385 . 파수닷컴 / 150900 / 2013-10-18
2386 . 파워넷 / 037030 / 2018-06-07
2387 . 파워로직스 / 047310 / 2003-07-25
2388 . 파이오링크 / 170790 / 2013-08-01
2389 . 파인디앤씨 / 049120 / 2001-07-26
2390 . 파인디지털 / 038950 / 2000-05-04
2391 . 파인엠텍 / 441270 / 2022-10-07
2392 . 파인테크닉스 / 106240 / 2009-03-16
2393 . 파인텍 / 131760 / 2015-08-17
2394 . 파크시스템스 / 140860 / 2015-12-17
2395 . 파트론 / 091700 / 2006-12-13
2396 . 파티게임즈 / 194510 / 2014-11-21
2397 . 팍스넷 / 038160 / 2016-08-01
2398 . 판도라티비 / 202960 / 2014-08-11
2399 . 판타지오 / 187770 / 2013-12-12
2400 . 팜스빌 / 318010 / 2019-10-22
2401 . 패션플랫폼 / 256090 / 2016-12-20
2402 . 팬엔터테인먼트 / 068050 / 2006-07-07
2403 . 팬젠 / 222110 / 2016-03-11
2404 . 팬택앤큐리텔 / 063350 / 2003-09-17
2405 . 팬텀 / 025460 / 2003-01-29
2406 . 펄어비스 / 263750 / 2017-09-14
2407 . 펌텍코리아 / 251970 / 2019-07-04
2408 . 페타시스 / 007660 / 2000-08-22
2409 . 펜타마이크로 / 088020 / 2006-12-19
2410 . 펨토바이오메드 / 327610 / 2019-07-10
2411 . 펨트론 / 168360 / 2022-11-24
2412 . 펩트론 / 087010 / 2015-07-22
2413 . 평산 / 089480 / 2006-08-22
2414 . 평창하이테크산업 / 039230 / 2000-06-22
2415 . 평화산업 / 090080 / 2006-06-02
2416 . 평화일렉콤 / 054010 / 2001-10-23
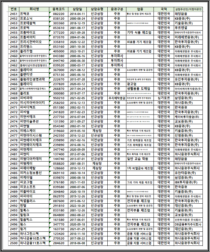
2417 . 평화정공 / 043370 / 2001-12-13
2418 . 포메탈 / 119500 / 2010-09-17
2419 . 포바이포 / 389140 / 2022-04-28
2420 . 포스데이타 / 022100 / 2000-11-28
2421 . 포스렉 / 003670 / 2001-11-01
2422 . 포스코케미칼 / 003670 / 2019-05-29
2423 . 포시에스 / 189690 / 2015-02-11
2424 . 포시에스 / 056710 / 2002-01-10
2425 . 포인트모바일 / 318020 / 2020-12-03
2426 . 포인트아이 / 078860 / 2006-06-27
2427 . 포인트엔지니어링 / 176560 / 2017-08-14
2428 . 포티스 / 141020 / 2013-01-29
2429 . 포항강판 / 058430 / 2002-08-16
2430 . 폭스소프트 / 354230 / 2020-06-25
2431 . 폴리플러스 / 065610 / 2002-12-06
2432 . 푸드나무 / 290720 / 2018-10-04
2433 . 푸른기술 / 094940 / 2007-09-14
2434 . 풀무원 / 103160 / 2008-07-29
2435 . 풍강 / 093380 / 2007-06-01
2436 . 풍경정화 / 065940 / 2003-01-07
2437 . 풍산 / 103140 / 2008-07-30
2438 . 풍산마이크로텍 / 024850 / 2001-01-18
2439 . 풍성전기 / 047060 / 2000-09-08
2440 . 풍원정밀 / 371950 / 2022-02-28
2441 . 퓨런티어 / 370090 / 2022-02-23
2442 . 퓨어텍 / 054120 / 2002-06-18
2443 . 퓨얼셀 / 139170 / 2013-07-01
2444 . 퓨전데이타 / 195440 / 2016-12-21
2445 . 퓨쳐메디신 / 341170 / 2022-07-27
2446 . 퓨쳐시스템 / 039860 / 2000-08-16
2447 . 퓨쳐켐 / 220100 / 2016-12-01
2448 . 퓨쳐켐 / 220100 / 2015-08-13
2449 . 프럼파스트 / 035200 / 2002-01-15
2450 . 프레스티지바이오로직스 / 334970 / 2021-03-11
2451 . 프렉코 / 082220 / 2014-04-11
2452 . 프로소닉 / 038120 / 2000-08-24
2453 . 프로테옴텍 / 303360 / 2018-12-19
2454 . 프로텍 / 053610 / 2001-08-17
2455 . 프롬바이오 / 377220 / 2021-09-28
2456 . 프롬써어티 / 073570 / 2004-01-06
2457 . 프리시젼바이오 / 335810 / 2020-12-22
2458 . 프리엠스 / 053160 / 2001-10-30
2459 . 플라즈맵 / 405000 / 2022-10-21
2460 . 플래티넘성장1호뮤추얼펀드 / 043380 / 2000-06-16
2461 . 플래티넘성장2호뮤추얼펀드 / 044740 / 2000-06-30
2462 . 플래티넘이천성장형펀드 / 039520 / 2000-03-17
2463 . 플래티어 / 367000 / 2021-08-12
2464 . 플랜티넷 / 075130 / 2005-06-10
2465 . 플럼라인생명과학 / 222670 / 2015-07-28
2466 . 플레이디 / 237820 / 2020-03-12
2467 . 플렉스파워에이더블유에스 / 266870 / 2017-04-24
2468 . 플리토 / 300080 / 2019-07-17
2469 . 피비파마 / 950210 / 2021-02-05
2470 . 피시피아비아이티 / 258250 / 2016-12-13
2471 . 피씨디렉트 / 051380 / 2002-02-15
2472 . 피씨엘 / 241820 / 2017-02-23
2473 . 피앤씨테크 / 237750 / 2016-07-04
2474 . 피앤이솔루션 / 131390 / 2011-09-27
2475 . 피앤텔 / 054340 / 2002-01-10
2476 . 피에스케이 / 319660 / 2019-05-10
2477 . 피엔아이시스템 / 242350 / 2016-12-22
2478 . 피엔에이치테크 / 239890 / 2021-02-16
2479 . 피엔에이치테크 / 239890 / 2016-08-16
2480 . 피엔케이 / 347740 / 2020-09-09
2481 . 피엔티 / 137400 / 2012-07-06
2482 . 피엠디아카데미 / 144740 / 2013-07-01
2483 . 피엠케이 / 058820 / 2001-08-31
2484 . 피제이메탈 / 128660 / 2010-12-13
2485 . 피카소정보통신 / 069110 / 2003-10-14
2486 . 피케이엘 / 039870 / 2000-08-18
2487 . 피코그램 / 376180 / 2021-11-03
2488 . 피코소프트 / 039580 / 2000-07-06
2489 . 피플바이오 / 304840 / 2020-10-19
2490 . 피피아이 / 062970 / 2019-12-26
2491 . 픽셀플러스 / 087600 / 2015-06-12
2492 . 핀텔 / 291810 / 2022-10-20
2493 . 필룩스 / 033180 / 2001-12-26
2494 . 필링크 / 064800 / 2002-08-22
2495 . 필옵틱스 / 161580 / 2017-06-01
2496 . 핌스 / 347770 / 2020-09-18
2497 . 핑거 / 163730 / 2021-01-29
2498 . 하나그린스팩 / 123420 / 2010-11-10
2499 . 하나금융10호스팩 / 270520 / 2017-08-22
2500 . 하나금융11호스팩 / 284620 / 2018-06-08
2501 . 하나금융13호스팩 / 320000 / 2019-09-18
2502 . 하나금융14호스팩 / 332710 / 2019-11-01
2503 . 하나금융15호스팩 / 341160 / 2020-01-30
2504 . 하나금융16호스팩 / 343510 / 2020-07-23
2505 . 하나금융17호스팩 / 363260 / 2021-02-10
2506 . 하나금융19호스팩 / 388220 / 2021-10-07
2507 . 하나금융20호스팩 / 400560 / 2021-12-27
2508 . 하나금융21호스팩 / 406760 / 2022-02-25
2509 . 하나금융22호스팩 / 418170 / 2022-05-26
2510 . 하나금융23호스팩 / 427950 / 2022-09-15
2511 . 하나금융24호스팩 / 430230 / 2022-09-29
2512 . 하나금융25호스팩 / 435620 / 2022-10-20
2513 . 하나금융7호SPAC / 230240 / 2015-12-16
2514 . 하나금융8호스팩 / 250060 / 2016-09-08
2515 . 하나금융9호스팩 / 261200 / 2017-06-26
2516 . 하나금융지주 / 086790 / 2005-12-12
2517 . 하나기술 / 299030 / 2020-11-25
2518 . 하나니켈1호 / 099340 / 2008-02-01
2519 . 하나니켈2호 / 099350 / 2008-02-01
2520 . 하나마이크론 / 067310 / 2005-10-11
2521 . 하나머스트2호스팩 / 208370 / 2014-12-17
2522 . 하나머스트3호스팩 / 208870 / 2014-12-24
2523 . 하나머스트4호스팩 / 215100 / 2015-04-22
2524 . 하나머스트5호스팩 / 218150 / 2015-06-18
2525 . 하나머스트7호스팩 / 372290 / 2021-03-05
2526 . 하나머스트스팩 / 194610 / 2014-06-10
2527 . 하나머스트제6호스팩 / 307160 / 2018-11-30
2528 . 하나머티리얼즈 / 166090 / 2017-04-28
2529 . 하나일렉콤 / 103650 / 2013-12-26
2530 . 하나제약 / 293480 / 2018-10-02
2531 . 하나투어 / 039130 / 2011-11-01
2532 . 하나투어 / 039130 / 2000-11-28
2533 . 하림 / 136480 / 2011-05-02
2534 . 하우동천 / 233990 / 2015-12-29
2535 . 하우리 / 049130 / 2002-01-22
2536 . 하이골드12호 / 172580 / 2013-07-12
2537 . 하이골드2호 / 139200 / 2011-04-15
2538 . 하이골드3호 / 153360 / 2012-05-04
2539 . 하이골드8호 / 159650 / 2012-09-17
2540 . 하이로닉 / 149980 / 2014-12-17
2541 . 하이로닉 / 149980 / 2013-07-01
2542 . 하이마트 / 071840 / 2011-06-29
2543 . 하이셈 / 200470 / 2014-12-26
2544 . 하이소닉 / 106080 / 2010-02-09
2545 . 하이스마텍 / 057100 / 2002-11-15
2546 . 하이스틸 / 071090 / 2003-02-17
2547 . 하이쎌 / 066980 / 2003-01-17
2548 . 하이에이아이1호스팩 / 235010 / 2016-03-04
2549 . 하이제1호스팩 / 131030 / 2010-12-03
2550 . 하이제2호스팩 / 205470 / 2014-12-01
2551 . 하이제3호스팩 / 217500 / 2015-06-16
2552 . 하이제4호스팩 / 317240 / 2019-04-29
2553 . 하이제5호스팩 / 340120 / 2019-12-23
2554 . 하이제6호스팩 / 377400 / 2021-05-10
2555 . 하이제7호스팩 / 400840 / 2021-12-20
2556 . 하이즈항공 / 221840 / 2015-11-25
2557 . 하이켐텍 / 052350 / 2001-07-20
2558 . 하이콤정보통신 / 048540 / 2001-07-31
2559 . 하이텍팜 / 106190 / 2010-07-28
2560 . 하이트맥주 / 103150 / 2008-07-30
2561 . 하이퍼정보통신 / 043680 / 2000-07-27
2562 . 하이홈 / 045260 / 2001-11-08
2563 . 하츠 / 066130 / 2003-02-11
2564 . 한광 / 044780 / 2000-09-07
2565 . 한국2호스팩 / 206400 / 2014-12-10
2566 . 한국3호스팩 / 222080 / 2015-09-02
2567 . 한국4호스팩 / 240540 / 2016-06-22
2568 . 한국9호스팩 / 368770 / 2021-01-21
2569 . 한국ANKOR유전 / 152550 / 2012-03-08
2570 . 한국경제티브이 / 039340 / 2004-07-30
2571 . 한국교육미디어 / 048270 / 2003-01-24
2572 . 한국기업평가 / 034950 / 2002-02-07
2573 . 한국내화 / 010040 / 2000-10-16
2574 . 한국맥널티 / 222980 / 2015-12-23
2575 . 한국물류정보통신 / 039420 / 2002-03-12
2576 . 한국미라클피플사 / 331660 / 2019-10-28
2577 . 한국미생물연구소 / 041960 / 2001-10-30
2578 . 한국바이오젠 / 318000 / 2019-08-01
2579 . 한국비엔씨 / 226610 / 2015-12-18
2580 . 한국스팩1호 / 123290 / 2010-08-24
2581 . 한국신용평가정보 / 030190 / 2000-05-16
2582 . 한국아스텐엔지니어링 / 044370 / 2000-07-13
2583 . 한국아태특별 / 098150 / 2007-09-05
2584 . 한국오발 / 017010 / 2003-01-28
2585 . 한국오에이 / 071950 / 2005-08-04
2586 . 한국와콤전자 / 045050 / 2001-08-02
2587 . 한국유니온제약 / 080720 / 2018-07-26
2588 . 한국유전15-1 / 093820 / 2007-01-02
2589 . 한국자산신탁 / 123890 / 2016-07-13
2590 . 한국전자금융 / 063570 / 2006-07-14
2591 . 한국전자인증 / 041460 / 2010-11-19
2592 . 한국전파기지국 / 065530 / 2002-06-04
2593 . 한국정밀기계 / 101680 / 2009-05-19
2594 . 한국정보공학 / 039740 / 2000-07-06
2595 . 한국정보인증 / 053300 / 2014-02-04
2596 . 한국제10호스팩 / 409570 / 2022-02-21
2597 . 한국제11호스팩 / 436610 / 2022-10-20
2598 . 한국제5호스팩 / 271740 / 2017-07-24
2599 . 한국제6호스팩 / 281410 / 2017-12-21
2600 . 한국제7호스팩 / 291210 / 2018-05-11
2601 . 한국제8호스팩 / 310870 / 2018-12-20
2602 . 한국종합기술 / 023350 / 2011-04-28
2603 . 한국중공업 / 034020 / 2000-10-25
2604 . 한국철강 / 104700 / 2008-09-29
2605 . 한국컴퓨터 / 089150 / 2006-12-13
2606 . 한국콜마 / 161890 / 2012-10-19
2607 . 한국콜마 / 024720 / 2002-04-09
2608 . 한국큐빅 / 021650 / 2003-01-24
2609 . 한국타이어 / 161390 / 2012-10-04
2610 . 한국토지신탁 / 034830 / 2016-07-11
2611 . 한국토지신탁 / 034830 / 2001-05-22
2612 . 한국통신데이타 / 045760 / 2002-04-23
2613 . 한국툰붐 / 054780 / 2003-11-14
2614 . 한국트로닉스 / 054040 / 2002-01-15
2615 . 한국티씨엠 / 228180 / 2015-10-22
2616 . 한국파마 / 032300 / 2020-08-10
2617 . 한국패러랠 / 168490 / 2013-04-19
2618 . 한국하이네트 / 040180 / 2000-07-20
2619 . 한국항공우주 / 047810 / 2011-06-30
2620 . 한국해저통신 / 060370 / 2002-02-15
2621 . 한국화장품 / 123690 / 2010-06-01
2622 . 한길무역 / 036420 / 2000-03-23
2623 . 한네트 / 052600 / 2001-07-10
2624 . 한농화성 / 011500 / 2003-01-09
2625 . 한단정보통신 / 052270 / 2001-06-05
2626 . 한도하이테크 / 060660 / 2002-02-21
2627 . 한독크린텍 / 256150 / 2019-09-05
2628 . 한라레벨 / 092460 / 2007-05-22
2629 . 한림창업투자 / 021060 / 2000-06-15
2630 . 한미반도체 / 042700 / 2005-07-22
2631 . 한미약품 / 128940 / 2010-07-30
2632 . 한미파슨스 / 053690 / 2009-06-23
2633 . 한빛네트 / 036720 / 2001-11-08
2634 . 한빛소프트 / 047080 / 2002-01-10
2635 . 한빛아이앤비 / 043890 / 2000-08-10
2636 . 한빛전자통신 / 044570 / 2001-12-28
2637 . 한샘 / 009240 / 2002-07-16
2638 . 한서제약 / 044070 / 2004-11-19
2639 . 한성엘컴텍 / 037950 / 2000-08-24
2640 . 한세실업 / 105630 / 2009-03-20
2641 . 한세실업 / 016450 / 2000-01-06
2642 . 한솔씨앤피 / 221610 / 2016-01-27
2643 . 한솔제지 / 213500 / 2015-01-26
2644 . 한솔창업투자 / 025340 / 2000-05-04
2645 . 한송하이테크 / 058530 / 2002-02-05
2646 . 한스바이오메드 / 042520 / 2009-10-09
2647 . 한신정 / 034310 / 2004-02-04
2648 . 한양디지텍 / 078350 / 2004-05-14
2649 . 한양이엔지 / 045100 / 2000-08-31
2650 . 한우티엔씨 / 041440 / 2003-11-14
2651 . 한원마이크로웨이브 / 037110 / 2000-07-11
2652 . 한일시멘트 / 300720 / 2018-08-06
2653 . 한일이화 / 200880 / 2014-08-08
2654 . 한전KPS / 051600 / 2007-12-14
2655 . 한전기술 / 052690 / 2009-12-14
2656 . 한전산업 / 130660 / 2010-12-16
2657 . 한주금속 / 198940 / 2014-08-12
2658 . 한중 / 107640 / 2013-12-10
2659 . 한진중공업 / 097230 / 2007-08-31
2660 . 한진칼 / 180640 / 2013-09-16
2661 . 한진피앤씨 / 061460 / 2002-04-11
2662 . 한진해운 / 117930 / 2009-12-29
2663 . 한창산업 / 079170 / 2005-02-01
2664 . 한컴라이프케어 / 372910 / 2021-08-17
2665 . 한텍엔지니어링 / 076080 / 2008-07-18
2666 . 한텔 / 041940 / 2001-07-24
2667 . 한틀시스템 / 058420 / 2002-01-10
2668 . 한화ACPC스팩 / 217620 / 2015-06-10
2669 . 한화MGI스팩 / 215380 / 2015-05-18
2670 . 한화SV스팩1호 / 124050 / 2010-07-09
2671 . 한화수성스팩 / 265920 / 2017-06-08
2672 . 한화시스템 / 272210 / 2019-11-13
2673 . 한화에스비아이스팩 / 317320 / 2019-05-03
2674 . 한화에이스스팩1호 / 214680 / 2015-04-20
2675 . 한화에이스스팩2호 / 219860 / 2015-07-20
2676 . 한화에이스스팩3호 / 264290 / 2017-05-02
2677 . 한화에이스스팩4호 / 279410 / 2017-11-27
2678 . 한화플러스제1호스팩 / 340440 / 2019-12-27
2679 . 한화플러스제2호스팩 / 386580 / 2021-08-05
2680 . 한화플러스제3호스팩 / 430460 / 2022-09-29
2681 . 해덕선기 / 102210 / 2009-05-21
2682 . 해룡실리콘 / 036640 / 2000-05-30
2683 . 해빛정보 / 082210 / 2005-06-24
2684 . 해성디에스 / 195870 / 2016-06-24
2685 . 해성옵틱스 / 076610 / 2013-11-06
2686 . 해성티피씨 / 059270 / 2021-04-21
2687 . 해외무역 / 037380 / 2000-01-27
2688 . 해원에스티 / 058480 / 2002-01-15
2689 . 해태제과식품 / 101530 / 2016-05-11
2690 . 핸디소프트 / 220180 / 2016-11-24
2691 . 핸디소프트 / 220180 / 2015-06-29
2692 . 핸즈코퍼레이션 / 143210 / 2016-12-02
2693 . 헝셩그룹 / 900270 / 2016-08-18
2694 . 헤드라인정보통신 / 066340 / 2003-02-07
2695 . 헤스본 / 054300 / 2002-01-10
2696 . 현대EP / 089470 / 2006-09-25
2697 . 현대건설기계 / 267270 / 2017-05-10
2698 . 현대경매부동산일호 / 083160 / 2005-04-21
2699 . 현대공업 / 170030 / 2013-12-04
2700 . 현대드림3호스팩 / 221950 / 2015-08-21
2701 . 현대드림4호스팩 / 226360 / 2015-10-22
2702 . 현대드림스팩2호 / 204630 / 2014-12-29
2703 . 현대로보틱스 / 267250 / 2017-05-10
2704 . 현대로템 / 064350 / 2013-10-30
2705 . 현대백화점 / 069960 / 2002-11-25
2706 . 현대사료 / 016790 / 2018-06-01
2707 . 현대씨앤에프 / 227840 / 2015-10-23
2708 . 현대에너지솔루션 / 322000 / 2019-11-19
2709 . 현대에이블스팩1호 / 204760 / 2014-11-10
2710 . 현대에이치씨엔 / 126560 / 2010-12-23
2711 . 현대오토넷 / 042100 / 2002-07-26
2712 . 현대오토에버 / 307950 / 2019-03-28
2713 . 현대위아 / 011210 / 2011-02-21
2714 . 현대일렉트릭 / 267260 / 2017-05-10
2715 . 현대정보기술 / 026180 / 2000-08-08
2716 . 현대중공업 / 329180 / 2021-09-17
2717 . 현대증권스팩1호 / 122350 / 2010-03-19
2718 . 현대통신산업 / 039010 / 2000-07-20
2719 . 현대푸드 / 114410 / 2009-12-17
2720 . 현대홈쇼핑 / 057050 / 2010-09-13
2721 . 현성바이탈 / 204990 / 2016-12-09
2722 . 현성바이탈 / 204990 / 2015-04-03
2723 . 현우산업 / 092300 / 2007-10-24
2724 . 현주컴퓨터 / 038960 / 2001-05-15
2725 . 현진소재 / 053660 / 2002-02-15
2726 . 호전실업 / 111110 / 2017-02-02
2727 . 홈데코 / 025750 / 2003-11-04
2728 . 화림모드 / 045920 / 2000-10-06
2729 . 화성 / 039610 / 2000-03-16
2730 . 화승알앤에이 / 378850 / 2021-03-15
2731 . 화승엔터프라이즈 / 241590 / 2016-10-04
2732 . 화신테크 / 086250 / 2006-11-10
2733 . 화우테크놀러지 / 045890 / 2005-11-28
2734 . 화인반도체기술 / 036810 / 2000-01-18
2735 . 화인베스틸 / 133820 / 2014-07-22
2736 . 화인썬트로닉스 / 038520 / 2000-03-03
2737 . 화인에이티씨 / 067990 / 2004-12-03
2738 . 화일약품 / 061250 / 2002-04-18
2739 . 화진 / 134780 / 2011-08-10
2740 . 화풍방직 / 950010 / 2007-11-26
2741 . 환경비젼이십일 / 036590 / 2001-05-10
2742 . 황금에스티 / 032560 / 2009-10-29
2743 . 효성 ITX / 094280 / 2007-10-25
2744 . 효성오앤비 / 097870 / 2008-04-08
2745 . 효성중공업 / 298040 / 2018-07-13
2746 . 효성첨단소재 / 298050 / 2018-07-13
2747 . 효성티앤씨 / 298020 / 2018-07-13
2748 . 효성화학 / 298000 / 2018-07-13
2749 . 후성 / 093370 / 2006-12-22
2750 . 휘닉스컴 / 037270 / 2003-08-01
2751 . 휘닉스피디이 / 050090 / 2004-06-29
2752 . 휠라코리아 / 081660 / 2010-09-28
2753 . 휴네시온 / 290270 / 2018-08-02
2754 . 휴럼 / 284420 / 2017-12-12
2755 . 휴맥스 / 115160 / 2009-11-16
2756 . 휴먼정보기술 / 066480 / 2002-11-05
2757 . 휴먼컴 / 036660 / 2000-06-15
2758 . 휴먼텍코리아 / 066060 / 2002-08-16
2759 . 휴메딕스 / 200670 / 2014-12-26
2760 . 휴비스 / 079980 / 2012-02-23
2761 . 휴비츠 / 065510 / 2003-10-31
2762 . 휴온스 / 243070 / 2016-06-03
2763 . 휴온스 / 084110 / 2006-12-19
2764 . 휴젤 / 145020 / 2015-12-24
2765 . 휴켐스 / 069260 / 2002-10-07
2766 . 흥국 / 010240 / 2009-05-12
2767 . 흥국에프엔비 / 189980 / 2015-08-07
2768 . 희림종합건축사무소 / 037440 / 2000-02-03
2769 . 히든챔피언스팩1호 / 123160 / 2010-06-11
2770 . 힘스 / 238490 / 2017-07-20
2771 . 힘스인터내셔널 / 181980 / 2013-08-14
2. 종목 가나다순(2000년~2022년) : 이미지
























































3. 표로 보는 연도별 분포

2000년부터
2022년까지의 신규상장 현황입니다.

표에서 보았듯이
2000년도 신규상장이 가장 많았습니다.
다음 기간별 연도현황입니다.


그리고 이번글은
상장폐지편과 같이 살펴보겠습니다.

상장폐지편 글에서는
기간이 1991년부터였기때문에
다시 2000년부터로 기간을 맞추었습니다.


동 기간동안
신규상장종목은 2771종목이었으며
상장폐지 종목은 1397종목이었습니다.


'주식업종, 공모주 관련 > 공모주 관련!' 카테고리의 다른 글
| 공모주살펴보기(진영, 나라셀라,마녀공장)..2023년 6월 상장주 (0) | 2023.06.10 |
|---|---|
| 2023년 6월 공모주 달력(17종목), 큐라티스,프로테옴텍,필에너지,알멕,파로스아이바이오,시큐센,오픈놀,버넥트,이노시물레이션..... (0) | 2023.06.03 |
| 신규 상장 종목(2015년~2019년)살펴보기...5탄 (0) | 2023.01.20 |
| 신규 상장 종목(2015년~2019년)살펴보기...4탄 (0) | 2023.01.20 |
| 신규 상장 종목(2010년~2014년)살펴보기...3탄 (0) | 2023.01.20 |
댓글